纺织学报 ›› 2021, Vol. 42 ›› Issue (10): 1-7.doi: 10.13475/j.fzxb.20210604807

• 纺织科技新见解学术沙龙专栏: 纤维原液着色关键技术及其产品 •    下一篇

基于分子模拟预判Lyocell纤维原液着色体系中溶剂的稳定性

靳宏1, 张玥1,2, 张玉梅1,2(), 王华平1,2   

  1. 1.东华大学 材料科学与工程学院, 上海 201620
    2.东华大学 纤维材料改性国家重点实验室, 上海 201620
  • 收稿日期:2021-06-21 修回日期:2021-07-12 出版日期:2021-10-15 发布日期:2021-10-29
  • 通讯作者: 张玉梅
  • 作者简介:靳宏(1993—),男,博士生。主要研究方向为纤维素纤维功能化。
  • 基金资助:
    国家自然科学基金项目(51773032)

Predicting stability of solvent in dope-dyed Lyocell solution based on molecular simulation

JIN Hong1, ZHANG Yue1,2, ZHANG Yumei1,2(), WANG Huaping1,2   

  1. 1. College of Material Science and Engineering, Donghua University, Shanghai 201620, China
    2. Key Laboratory for Modification of Chemical Fibers and Polymer Materials, Donghua University, Shanghai 201620, China
  • Received:2021-06-21 Revised:2021-07-12 Published:2021-10-15 Online:2021-10-29
  • Contact: ZHANG Yumei

摘要:

为探索原液着色法制备Lyocell纤维过程中颜料对溶剂N-甲基吗啉-N-氧化物(NMMO)稳定性的影响,针对传统实验分析测试方法的局限性,采用分子模拟计算的方法研究了金属氧化物、碳材料、有机分子晶体三大类代表性颜料表面与NMMO之间的相互作用,根据NMMO分子中N—O键的平衡键长变化以及O—N—C键键角的变化,说明NMMO水溶液在二氧化钛、碳黑、颜料红、靛蒽醌颜料存在下,化学结构基本不变;而在三氧化二铁、酞菁铜颜料存在的情况下,N—O键的平衡键长明显变长,存在化学键断裂的风险,且这一结果与已有的实验结果相吻合,并且说明分子模拟方法可快速预判颜料对NMMO稳定性的潜在影响。

关键词: 原液着色, Lyocell纤维, 分子模拟, 溶剂, 颜料, 稳定性

Abstract:

In order to study the influence of pigment on the stability of solvent N-methylmorpholine-N-oxide (NMMO) in the preparation of dope-dyed Lyocell fibers, the interaction between NMMO and three representative pigments including metal oxide, carbon material, and organic molecular crystal was studied by molecular simulation in view of the limitations of traditional experimental testing methods. According to the change of N—O equilibrium bond length and O—N—C bond angle of NMMO molecule, the chemical structure of NMMO aqueous solution remains basically unchanged in the presence of titanium dioxide, carbon black, pigment red and indoanthraquinone. Nevertheless the equilibrium bond length of N—O bond obviously becomes longer in the presence of Fe2O3 and copper (II) phthalocyanine, predicting the risk of chemical bond breakage, which is consistent with the existing experimental results. It indicates that molecular simulation method can quickly predict the potential influence of pigments on the stability of NMMO.

Key words: dope-dyed fiber, Lyocell fiber, molecular simulation, solvent, pigment, stability

中图分类号: 

  • TQ341.9

图1

不同力场下NMMO分子的优化结果 注:碳—灰色,氧—红色,氮—蓝色。"

表1

NMMO分子中各原子的电荷分配"

原子 点电荷(COMPASS)/e 文献[16]点电荷(CHARMM)/e
O1 -0.643 -0.67
O2 -0.320 -0.50
N 0.253 0.44
C(C—O2) 0.154 0.24
C(C—N) 0.024 -0.11
C(CH3) -0.290 -0.33
H 0.053 0.06

表2

NMMO分子中各化学键键长"

化学键 键长(COMPASS) 文献[15]键长(XRD)
N—O1 0.137 8 0.138 3
N—C 0.147 9~0.148 7 0.149 9~0.148 7
C—O2 0.142 5 0.142 1
C—H 0.109 9~0.110 7 0.10~0.11

图2

不同质量分数NMMO水溶液模型的模拟结果"

表3

NMMO水溶液模拟结果中每个水分子和NMMO分子平均氢键数量"

NMMO质量分数/% 水-水氢键/个 水-NMMO氢键/个
10 1.42 2.54
30 1.33 2.36
50 1.26 2.15
87 0.62 1.25

图3

NMMO分子与颜料晶面间相互作用模型(初始结构)"

图4

50%NMMO水溶液/颜料晶面相互作用模型模拟结果"

图5

NMMO分子在363 K下的N—O键键长分布"

表4

不同颜料表面对NMMO分子中C—N键键长的影响"

颜料 C—N键长/nm
TiO2 0.150 4
CB 0.149 1
Fe2O3 0.148 8
P.R.255 0.149 6
酞菁铜 0.150 9
靛蒽醌 0.149 9

图6

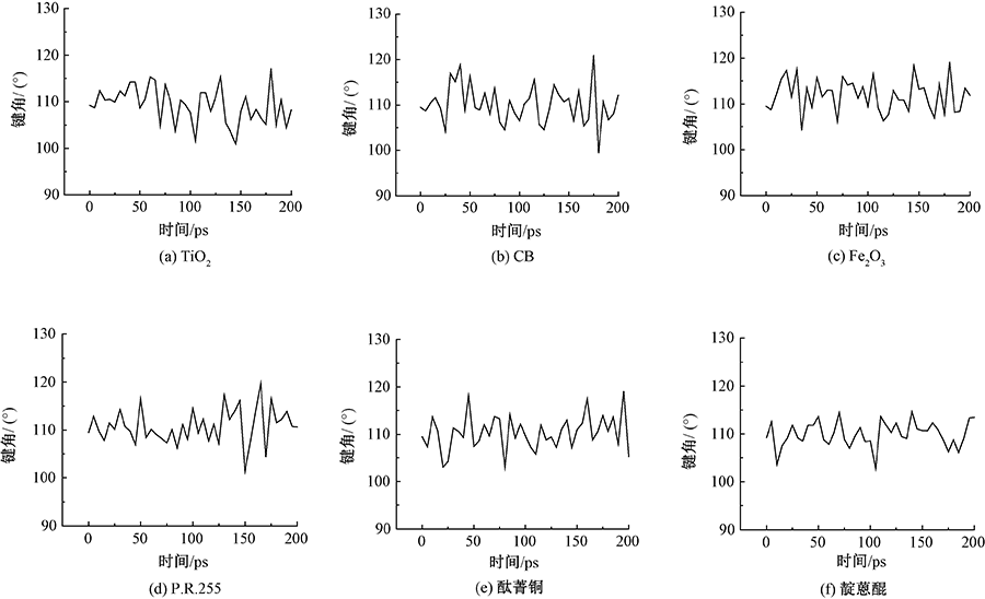
不同颜料晶体表面对NMMO分子中N—O键键长分布的影响 (a) TiO2; (b) CB; (c) Fe2O3; (d) P.R.255; (e) Copper (II) phthalocyanine; (f)Indoanthraquinone 注:统计分子数为50个;温度为363 K。"

图7

不同颜料晶体表面对NMMO分子中O—N—C键键角的影响"

图8

不同颜料表面/50%NMMO水溶液界面模拟结果中氧原子摩尔分布"

图9

50%NMMO水溶液与CB表面之间的界面结构示意图 注:碳—灰色;氧—红色;氮—蓝色。"

[1] 朱芯娅, 闻井会, 汤雅琪, 等. Lyocell纤维的应用及发展[J]. 辽宁丝绸, 2020(2):54-55.
ZHU Xinya, WEN Jinghui, TANG Yaqi, et al. Application and development of Lyocell fiber[J]. Liaoning Silk, 2020(2):54-55.
[2] 王铁晗, 靳宏, 元伟, 等. 改性Lyocell纤维的研究开发进展[J]. 纺织导报, 2020(7):38-44.
WANG Tiehan, JIN Hong, YUAN Wei, et al. Research and development progress of modified Lyocell fiber[J]. China Textile Leader, 2020(7):38-44.
[3] KONKIN A, WENDLER F, MEISTER F, et al. Degradation processes in the cellulose/N-methylmorpholine-N-oxide system studied by HPLC and ESR. Radical formation/recombination kinetics under UV photolysis at 77 K[J]. Cellulose, 2007, 14(5):457-468.
doi: 10.1007/s10570-007-9140-1
[4] ROSENAU T, POTTHAST A, ADORJAN I, et al. Cellulose solutions inN-methylmorpholine-N-oxide (NMMO)-degradation processes and stabilizers[J]. Cellulose, 2002, 9(3/4):283-291.
doi: 10.1023/A:1021127423041
[5] WENDLER F, KOLBE A, MEISTER F, et al. Thermostability of Lyocell dopes modified with surface active additives[J]. Macromolecular Materials & Engineering, 2005, 290(8):826-832.
[6] ZHANG L, SUN W, XU D, et al. Dope dyeing of lyocell fiber with NMMO-based carbon black dis-persion[J]. Carbohydrate Polymers, 2017, 174:32-38.
doi: 10.1016/j.carbpol.2017.06.020
[7] FU S, DU C, WANG C, et al. Properties of Lyocell spinning solution with the addition of carbon black/latex composite[J]. Colloids & Surfaces A: Physico-chemical & Engineering Aspects, 2013, 428:1-8.
[8] 杨秀琴, 田银彩, 郑玉成, 等. TiO2对棉浆粕/NMMO·H2O溶液流变性能的影响[J]. 合成纤维工业, 2016, 39(6):5-10.
YANG Xiuqin, TIAN Yincai, ZHENG Yucheng, et al. Effect of TiO2 on rheological properties of cotton pulp/NMMO·H2O solution[J]. China Synthetic Fiber Industry, 2016, 39(6):5-10.
[9] 刘怡宁, 张连松, 朱若斐, 等. 氧化法制备Lyocell纤维原液着色用自分散纳米酞菁蓝15:3[J]. 人造纤维, 2019, 49(2):2-7.
LIU Yining, ZHANG Liansong, ZHU Ruofei, et al. Preparation of dope-dyeing Lyocell solution with self-dispersing nano phthalocyanine blue by oxidation method[J]. Artificial Fibre, 2019, 49(2):2-7.
[10] JIN H, KUMI A, ZHANG Y. Interaction between N-methylmorpholine-N-oxide, water and the titanium dioxide surface in lyocell process[J]. Journal of Physical Chemistry A, 2020, 124(42):8653-8659.
doi: 10.1021/acs.jpca.0c06119
[11] JIN H, KUMI A K, CUI S Q, et al. Influence of carbon black with different polar groups on the solvent N-methylmorpholine N-oxide[J]. Coloration Technology, 2021.DOI: 10.1111/cote.12544.
doi: 10.1111/cote.12544
[12] EWALD P P. The calculation of optical and electrostatic grid potential[J]. Annals of Physics, 1921, 64:253.
[13] NOSE S A. Molecular dynamics method for simulations in canonical ensemble[J]. Molecular Physics, 2002, 100:191-198.
doi: 10.1080/00268970110089108
[14] ROSENAU T, HOFINGER A, POTTHAST A, et al. On the conformation of the cellulose solvent N-methylmorpholine-N-oxide (NMMO) in solution[J]. Polymer, 2003, 44:6153-6158.
doi: 10.1016/S0032-3861(03)00663-3
[15] MAIA E, PEGUY A, PEREZ S. Cellulose organic solvents: Ⅰ: the structure of anhydrous NMMO and NMMO monohydrate[J]. Acta Cryst, 1981, 37:1862-1867.
doi: 10.1107/S0567740881007425
[16] KAST K M, BRICKMANN J, KAST S M, et al. Binary phases of aliphatic N-oxides and water: force field development and molecular dynamics simulation[J]. Journal of Physical Chemistry A, 2003, 107(27):5342-5351.
doi: 10.1021/jp027336a
[17] TAN V B C, ZENG X S, DENG M, et al. Multiscale modeling of polymers-the pseudo amorphous cell[J]. Computer Methods in Applied Mechanics & Engineering, 2008, 197(6-8):536-554.
[1] 邱志成, 李鑫, 李志勇, 王颖, 金剑, 武术方. 原位法连续聚合聚酯/炭黑体系的结构与性能[J]. 纺织学报, 2021, 42(10): 15-21.
[2] 田星, 沙源, 王兵兵, 夏延致. 乌贼墨黑色素着色海藻纤维的制备与表征[J]. 纺织学报, 2021, 42(10): 22-26.
[3] 潘忆乐, 钱丽颖, 徐纪刚, 何北海, 李军荣. Lyocell纤维纺丝浆粕溶解性的影响因素分析[J]. 纺织学报, 2021, 42(10): 27-33.
[4] 何聚, 刘晓辉, 苏晓伟, 林生根, 任元林. 星型无卤阻燃剂改性粘胶纤维的制备及其性能[J]. 纺织学报, 2021, 42(10): 34-40.
[5] 宋伟广, 王冬, 杜长森, 梁栋, 付少海. 自分散酞菁蓝15:3的制备及其在粘胶纤维原液着色中的应用[J]. 纺织学报, 2021, 42(10): 8-14.
[6] 高猛, 王增元, 漏琦伟, 陈钢进. 电晕驻极熔喷聚丙烯驻极体非织造布的电荷捕获特性[J]. 纺织学报, 2021, 42(09): 52-58.
[7] 张雨晗, 申国栋, 樊威, 孙润军. 芳纶固载BiOBr复合材料的制备及其光催化降解染色废水[J]. 纺织学报, 2021, 42(08): 128-134.
[8] 田苗, 雷烨, 王云仪, 李俊, 张向辉. 老年行动模拟服在步态稳定性研究中的应用[J]. 纺织学报, 2021, 42(08): 144-148.
[9] 汪芬萍, 李家炜, 黄骅隽, 吴金丹, 付少海, 戚栋明, 赵磊, 何贵平. 纺织品着色用有机颜料改性技术的研究进展[J]. 纺织学报, 2021, 42(07): 192-200.
[10] 林生根, 刘晓辉, 苏晓伟, 何聚, 任元林. 新型植酸基阻燃剂改性Lyocell纤维与织物的制备及其性能[J]. 纺织学报, 2021, 42(07): 25-30.
[11] 黄伟, 程春祖, 张嘉煜, 张晨曦, 程敏, 徐纪刚, 刘云崇. 高原纤化Lyocell纤维的制备及其性能[J]. 纺织学报, 2021, 42(06): 41-45.
[12] 王晓菲, 万爱兰, 沈新燕. 基于聚多巴胺修饰的聚吡咯导电织物制备与应变传感性能[J]. 纺织学报, 2021, 42(06): 114-119.
[13] 王瑞丰, 李敏, 田安丽, 王春霞, 付少海. 分散黄6GSL晶型与其分散体热稳定性的关系[J]. 纺织学报, 2021, 42(05): 96-102.
[14] 杨婷婷, 高远博, 郑毅, 王学利, 何勇. 生物基聚酰胺56纤维的热降解动力学及其热解产物[J]. 纺织学报, 2021, 42(04): 1-7.
[15] 郝尚, 谢源, 翁佳丽, 张维, 姚继明. 溶解刻蚀辅助构建棉织物超疏水表面[J]. 纺织学报, 2021, 42(02): 168-173.
Viewed
Full text


Abstract

Cited

  Shared   
  Discussed   
No Suggested Reading articles found!