纺织学报 ›› 2023, Vol. 44 ›› Issue (02): 207-213.doi: 10.13475/j.fzxb.20220408407

• 染整与化学品 • 上一篇    下一篇

双乙烯砜基团活性染料染色对棉织物防皱性能的提升

王金坤1, 刘秀明1, 房宽峻1,2,3,4(), 乔曦冉1, 张帅1, 刘冬冬1   

  1. 1.天津工业大学 纺织科学与工程学院, 天津 300387
    2.青岛大学 纺织服装学院, 山东 青岛 266071
    3.生态纺织省部共建协同创新中心, 山东 青岛 266071
    4.生物多糖纤维成形与生态纺织国家重点实验室, 山东 青岛 266071
  • 收稿日期:2022-04-27 修回日期:2022-11-19 出版日期:2023-02-15 发布日期:2023-03-07
  • 通讯作者: 房宽峻(1963—),男,教授,博士。主要研究方向为清洁染整。E-mail:13808980221@163.com。
  • 作者简介:王金坤(1995—),男,博士生。主要研究方向为纤维素纤维的交联。
  • 基金资助:
    国家重点研发计划项目(2017YFB0309800);山东省重大科技创新工程项目(2019TSLH0108);生物多糖纤维成形与生态纺织国家重点实验室项目(ZDKT202008)

Enhancement of anti-wrinkle properties of cotton fabrics by reactive dyeing with two vinyl sulphone groups

WANG Jinkun1, LIU Xiuming1, FANG Kuanjun1,2,3,4(), QIAO Xiran1, ZHANG Shuai1, LIU Dongdong1   

  1. 1. School of Textile Science and Engineering, Tiangong University, Tianjin 300387, China
    2. College of Textiles & Clothing, Qingdao University, Qingdao, Shandong 266071, China
    3. Collaborative Innovation Center for Eco-Textiles of Shandong Province and the Ministry of Education, Qingdao, Shandong 266071, China
    4. State Key Laboratory for Biofibers and Eco-Textiles, Qingdao, Shandong 266071, China
  • Received:2022-04-27 Revised:2022-11-19 Published:2023-02-15 Online:2023-03-07

摘要:

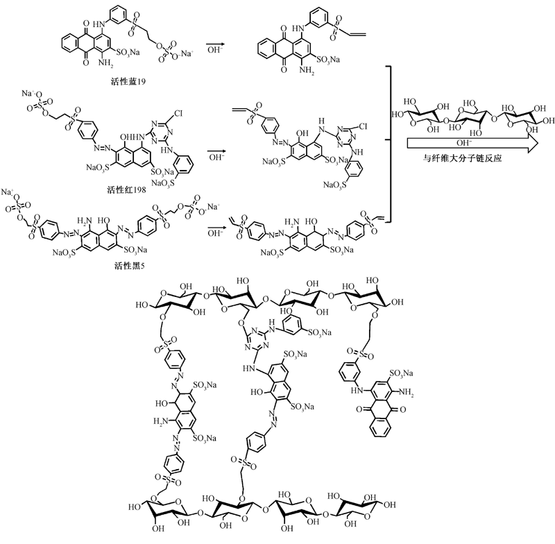
为提高棉织物的防皱性能,采用不同活性基团的活性染料,通过冷轧堆工艺对棉织物进行染色。借助 X射线衍射仪、傅里叶红外光谱仪和扫描电子显微镜对染色棉织物的化学性能和表面形貌进行表征,探究了活性染料基团数量、种类、距离对染色棉织物防皱性能的影响,并对染色棉织物的颜色性能进行分析。结果表明:相较于单活性基团染料,双活性基团染料可以提高棉织物的防皱性能;相较于含有异双基团的活性红198染色棉织物,含有双乙烯砜基团的活性黑5染色棉织物具有更好的防皱性能;在活性黑5、活性橙131、活性蓝203以及活性红AS 这 4种双乙烯砜基团染料中,活性基团距离越大,染色织物的防皱性能越好,其中活性黑5染料染色织物的折皱回复角可达到210°;染料主要在纤维的无定形区与大分子链上的羟基发生共价键合反应,形成交联结构提升了棉织物的防皱性能。

关键词: 棉织物, 防皱性能, 活性基团, 活性染料, 染色性能, 冷轧堆

Abstract:

Objective Cotton fabrics are popular among consumers due to its good breathability, moisture absorption and wearing comfort. However, cotton fabric elasticity is poor, prone to wrinkles during the washing process. In order to improve the anti-wrinkle properties of cotton fabrics, reactive dyes with different reactive groups were used to dye cotton fabrics by cold pad-batch process to improve anti-wrinkle properties of cotton fabrics while dyeing.
Method In this study, the chemical properties and surface morphology of dyed cotton fabrics were characterized with the help of X-ray diffraction, Fourier infrared spectroscopy and scanning electron microscopy. In addition, the effects of the number, type and distance of reactive dye groups on the anti-wrinkle properties of dyed cotton fabrics were investigated by testing the wrinkle recovery angle and K/S value of dyed cotton fabrics.
Results The wrinkle recovery angle of cotton fabrics dyed with Reactive Blue 19 did not change significantly with the increase of dye mass concentration (Fig. 1). The wrinkle recovery angle of cotton fabrics dyed with Reactive Red 198 and Reactive Black 5 increased with the increase of dye mass concentration, and the wrinkle recovery angle of cotton fabrics dyed with Reactive Black 5 was higher than that of cotton fabrics dyed with Reactive Red 198. Among the four two vinyl sulphone groups, i.e. Reactive Black 5, Reactive Orange 131, Reactive Blue 203, and Reactive Red AS, reactive dyed cotton fabric obtained darker apparent color, and their K/S maximum values were 25.2, 23.8, 24.1, 23.3 respectively (Fig. 3). The wrinkle recovery angle of the cotton fabrics dyed with the four dyes increased rapidly with the increase of the dye mass concentration. When the dye mass concentration reached a certain value, the wrinkle recovery angle of the fabric remained unchanged (Fig. 4). The wrinkle recovery angles of cotton fabrics dyed with Reactive Black 5, Reactive Orange 131, Reactive Blue 203 and Reactive Red AS increased from 165° to 210°, 208°, 205° and 198°, respectively, representing increases of 27%, 26%, 24% and 20% respectively, corresponding to the distance between the two vinyl sulphone groups in the reactive dyes (Tab. 1). The X-ray diffractograms of cotton fabrics dyed with Activated Black 5 were basically the same as the untreated ones, all of which showed four crystalline surfaces, exhibiting the form of cellulose I (Fig. 5(a)). The absorption peaks of benzene ring and C=C at 1 609 and 1 567 cm-1 appeared in the cotton fabric impregnated with Reactive Black 5 dye dried immediately relative to the untreated cotton fabric (Fig. 5(b)). However, the absorption peak of C=C at 1 567 cm-1 disappeared in the cotton fabric impregnated with Reactive black 5 after cold pad-batch process. In addition, the cross-section of cotton fabric changed from flat waist-like to elliptical after Reactive Black 5 dyeing (Fig. 5(c)).
Conclusion Compared to single reactive groups, double reactive group dyes can improve the wrinkle resistance of cotton fabrics. Compared with the Reactive Red 198 dyed cotton fabric containing isobutyl groups, the Reactive Black 5 dyed cotton fabric containing two vinyl sulphone groups has better anti-wrinkle properties. By comparing the Reactive Black 5, Reactive Orange 131, Reactive Blue 203 and Reactive Red AS, the 4 two vinyl sulphone group dyes, the greater the distance of the reactive group, the better the anti-wrinkle properties of the dyed fabrics. Among them, the Reactive Black 5 dye dyed fabric has the best anti-wrinkle effect. The cross-section of cotton fabrics becomes round from a flat waist-like shape after dyeing. The dye reacts covalently with the hydroxyl groups on the macromolecular chain mainly in the amorphous region of the fiber, and the cross-linked structure formed enhances the anti-wrinkle property of the cotton fabric.

Key words: cotton fabric, anti-wrinkle property, reactive group, reactive dye, dyeing property, cold pad-batch

中图分类号: 

  • TS195.5

图1

不同活性基团染料对棉织物折皱回复角的影响"

图2

不同基团活性染料与纤维大分子链反应示意图"

图3

不同质量浓度活性染料对棉织物K/S值的影响"

图4

不同质量浓度活性染料对棉织物折皱回复角的影响"

表1

染料分子活性基之间的距离"

染料名称 活性基团距离
活性黑5 2.35
活性橙131 2.16
活性蓝203 1.98
活性红AS 1.66

图5

染色前后棉织物的结晶结构、化学结构和形貌"

[1] 陈小文, 吴伟, 钟毅, 等. 棉织物的活性染料低含水率焙蒸固色工艺[J]. 纺织学报, 2021, 42(7):115-122.
CHEN Xiaowen, WU Wei, ZHONG Yi, et al. Low moisture content baking and color fixing technology of reactive dyes for cotton fabrics[J]. Journal of Textile Research, 2021, 42(7):115-122.
[2] QIAO X, FANG K, LIU X, et al. Different influences of hydroxypropyl methyl cellulose pretreatment on surface properties of cotton and polyamide in inkjet printing[J]. Progress in Organic Coatings, 2022. DOI: 10.1016/j.porgcoat.2022.106746.
doi: 10.1016/j.porgcoat.2022.106746
[3] 程佩, 傅佳佳, 王蕾, 等. 预处理对棉织物免烫整理效果的影响[J]. 纺织学报, 2021, 42(9):126-130.
CHENG Pei, FU Jiajia, WANG Lei, et al. Effect of pretreatment on the effect of non-iron finishing of cotton fabrics[J]. Journal of Textile Research, 2021, 42(9):126-130.
[4] 侯文双, 闵洁, 纪峰, 等. 织物紧度和抗皱整理工艺对纯棉机织物折皱回复性的影响[J]. 纺织学报, 2021, 42(1):118-124.
HOU Wenshuang, MIN Jie, JI Feng, et al. Effects of fabric tightness and anti-wrinkle finishing process on wrinkle recovery of pure cotton woven fabrics[J]. Journal of Textile Research, 2021, 42(1):118-124.
[5] FANG L, SUN F, LIU Q, et al. A cleaner production process for high performance cotton fabrics[J]. Journal of Cleaner Production, 2021. DOI: 10.1016/j.jclepro.2021.128500.
doi: 10.1016/j.jclepro.2021.128500
[6] 危想平. 棉织物免烫整理性能研究[J]. 山东化工, 2019, 48(22):27-28.
WEI Xiangping. Research on the performance of cotton fabrics without ironing[J]. Shandong Chemical Industry, 2019, 48(22):27-28.
[7] CHANG H, CHEN C. Crosslinking of cotton with Dmdmdheu in the presence of sodium chloride[J]. Textile Research Journal, 1996, 66(12):803-809.
doi: 10.1177/004051759606601209
[8] 王英强, 纪峰, 刘政钦, 等. 纯棉织物的醚化2D树脂成衣免烫整理[J]. 毛纺科技, 2020, 48(2):1-5.
WANG Yingqiang, JI Feng, LIU Zhengqin, et al. Etherified 2D resin garment non-iron finishing of pure cotton fabrics[J]. Wool Textile Technology, 2020, 48(2): 1-5.
[9] JI B, TANG P, HU C, et al. Catalytic and ionic cross-linking actions of L-glutamate salt for the modification of cellulose by 1,2,3,4-butanetetracarboxylic acid[J]. Carbohydr Polym, 2019, 207: 288-296.
doi: 10.1016/j.carbpol.2018.11.090
[10] JI B, TANG P, YAN K. Catalytic actions of alkaline salts in reactions between 1,2,3,4-butanetetracarboxylic acid and cellulose: II: esterification[J]. Carbohydr Polym, 2015, 132: 228-236.
doi: 10.1016/j.carbpol.2015.06.070
[11] JI B, QI H, YAN K, et al. Catalytic actions of alkaline salts in reactions between 1,2,3,4-butanetetracarboxylic acid and cellulose: I: anhydride formation[J]. Cellulose, 2016. DOI: 10.1007/s10570-015-0810-0.
doi: 10.1007/s10570-015-0810-0
[12] LOU J, FAN X, WANG Q, et al. Oxysucrose polyaldehyde: a new hydrophilic crosslinking reagent for anti-crease finishing of cotton fabrics[J]. Carbohydrate Research, 2019. DOI: 10.1016/j.carres.2019.107783.
doi: 10.1016/j.carres.2019.107783
[13] LOU J, ZHANG J, WANG D, et al. Improving the dyeability and anti-wrinkle properties of cotton fabric via oxidized raffinose[J]. Applied Sciences, 2021. DOI: 10.3390/app11104641.
doi: 10.3390/app11104641
[14] LOU J, YUAN J, WANG Q, et al. Anti-crease finishing of cotton fabrics based on crosslinking of cellulose with oxidized sucrose[J]. Journal of Natural Fibers, 2020. DOI: 10.1080/15440478.2020.1818353.
doi: 10.1080/15440478.2020.1818353
[15] 朱晓磊, 沈倩, 王晗, 等. 在非水介质中染棉织物的活性染料[J]. 染料与染色, 2021, 58(5):1-11.
ZHU Xiaolei, SHEN Qian, WANG Han, et al. Reactive dyes for dyeing cotton fabrics in non-aqueous medium[J]. Dyes and Dyeing, 2021, 58(5):1-11.
[16] LOU J, YUAN J, WANG Q, et al. Synthesis and application of oxidized trehalose as a hydrophilic anti-crease finishing reagent for cotton fabric[J]. Fibers and Polymers, 2021.DOI: 10.1007/s12221-021-9661-5.
doi: 10.1007/s12221-021-9661-5
[17] LIANG T, YAN K, ZHAO T, et al. High strength retention of cellulose fibers crosslinking with synthesized low-molecular-weight copolymers of itaconic acid and acrylic acid[J]. Cellulose, 2020. DOI: 10.1007/s10570-020-03574-z.
doi: 10.1007/s10570-020-03574-z
[18] JI B, WANG X, GONG S, et al. Locating the reaction site of 1,2,3,4-butanetetracarboxylic acid carboxyl and cellulose hydroxyl in the esterification cross-linking[J]. ACS omega, 2021. DOI: 10.1021/acsomega.1c04718.
doi: 10.1021/acsomega.1c04718
[19] SHU D, FANG K, LIU X, et al. Cleaner pad-steam dyeing technology for cotton fabrics with excellent utilization of reactive dye[J]. Journal of Cleaner Production, 2019. DOI: 10.1016/j.jclepro.2019.118370.
doi: 10.1016/j.jclepro.2019.118370
[1] 丁娟, 刘阳, 张晓飞, 郝克倩, 宗蒙, 孔雀. Fe/C多孔碳材料制备及其涂层棉织物的吸波性能[J]. 纺织学报, 2023, 44(02): 191-198.
[2] 曲连艺, 刘江龙, 徐英俊, 王玉忠. 仿贻贝型耐久抗菌织物的制备及其性能[J]. 纺织学报, 2023, 44(02): 176-183.
[3] 蒋琦, 刘云, 朱平. 茶多酚基阻燃/防紫外线棉织物的制备及其性能[J]. 纺织学报, 2023, 44(02): 222-229.
[4] 张帅, 房宽峻, 刘秀明, 乔曦冉. 活性染料结构对彩色聚合物纳米球性能的影响[J]. 纺织学报, 2022, 43(12): 96-101.
[5] 乔曦冉, 房宽峻, 刘秀明, 巩继贤, 张帅, 张敏. 羟乙基甲基纤维素改性对棉和锦纶织物表面性质的差异性影响[J]. 纺织学报, 2022, 43(11): 127-132.
[6] 邵敏, 王丽君, 李美琪, 刘今强, 邵建中. 非水介质-微水体系中活性染料的水解和键合性能[J]. 纺织学报, 2022, 43(11): 94-103.
[7] 张典典, 于梦楠, 李敏, 刘明明, 付少海. 基于聚合物微球接枝硅油的超滑棉织物制备及其防污性能[J]. 纺织学报, 2022, 43(10): 119-125.
[8] 付政, 李敏, 何颖婷, 王春霞, 付少海. 纳米包覆分散染料的制备及其免水洗染色性能[J]. 纺织学报, 2022, 43(09): 129-136.
[9] 杨文博, 张傲洁, 刘幽燕, 李青云. 聚氨酯泡沫固定化生物体系对活性蓝4的吸附脱色[J]. 纺织学报, 2022, 43(08): 132-139.
[10] 张广知, 方进. 生物质环保阻燃剂PD的制备及其阻燃性能[J]. 纺织学报, 2022, 43(07): 90-96.
[11] 李娜, 王晓, 李振宝, 李佥, 杜冰. 基于腺嘌呤核苷酸单体的光接枝生态阻燃棉织物制备及其性能[J]. 纺织学报, 2022, 43(07): 97-103.
[12] 杨尧, 程伟, 余圆圆, 王强, 王平, 周曼. 抗菌和防细菌黏附整理剂在棉织物改性中的应用[J]. 纺织学报, 2022, 43(07): 104-110.
[13] 李平阳, 付灿, 董玲玲. 阻燃疏水棉织物的制备及其性能[J]. 纺织学报, 2022, 43(06): 107-114.
[14] 王宗乾, 程绿竹, 金鲜花, 夏丽萍. 基于紫外光谱法的纯棉织物中氯菊酯含量检测方法[J]. 纺织学报, 2022, 43(06): 127-132.
[15] 刘宇, 谢汝义, 宋亚伟, 齐元章, 王辉, 房宽峻. 涤/棉交织物一浴法轧染工艺[J]. 纺织学报, 2022, 43(05): 18-25.
Viewed
Full text


Abstract

Cited

  Shared   
  Discussed   
[1] 曹建达;顾小军;殷联甫. 用BP神经网络预测棉织物的手感[J]. 纺织学报, 2003, 24(06): 35 -36 .
[2] 黄立新. Optim纤维及产品的开发与应用[J]. 纺织学报, 2004, 25(02): 101 -102 .
[3] 秦元春. 纺织工业发展方向初探[J]. 纺织学报, 2004, 25(02): 108 -110 .
[4] 高伟江;魏文斌. 纺织业发展的战略取向——从比较优势到竞争优势[J]. 纺织学报, 2004, 25(02): 111 -113 .
[5] 顾大强;聂林. 塑胶压力软管增强层编织机[J]. 纺织学报, 2006, 27(1): 86 -88 .
[6] 王菊萍;殷佳敏;彭兆清;张峰. 活性染料染色织物超声波酶洗工艺[J]. 纺织学报, 2006, 27(1): 93 -95 .
[7] 钟智丽;王训该. 纳米纤维的应用前景[J]. 纺织学报, 2006, 27(1): 107 -110 .
[8] 罗军;费万春. 生丝中各层次茧丝数的概率分布[J]. 纺织学报, 2006, 27(2): 1 -4 .
[9] 包晓敏;汪亚明. 基于最小风险贝叶斯决策的织物图像分割[J]. 纺织学报, 2006, 27(2): 33 -36 .
[10] 牛增元;房丽萍.;杨桂朋;薛秋红;王境堂;孙忠松. 纺织品中邻苯二甲酸酯类环境激素在人工汗液中的迁移[J]. 纺织学报, 2006, 27(2): 74 -77 .