纺织学报 ›› 2023, Vol. 44 ›› Issue (02): 230-237.doi: 10.13475/j.fzxb.20220804708

• 染整与化学品 • 上一篇    下一篇

莨纱绸制备用河泥的关键成分及其结构特征

李哲阳, 马明波(), 周文龙   

  1. 浙江理工大学 纺织科学与工程学院(国际丝绸学院), 浙江 杭州 310018
  • 收稿日期:2022-08-16 修回日期:2022-11-17 出版日期:2023-02-15 发布日期:2023-03-07
  • 通讯作者: 马明波(1986—),男,副研究员,博士。主要研究方向为绿色及功能性纺织材料。E-mail:mamingbo@zstu.edu.cn。
  • 作者简介:李哲阳(1998—),男。主要研究方向为莨纱绸涂层的形成机制。
  • 基金资助:
    国家自然科学基金项目(52173064)

Key components and structural characteristics of river mud used in production of gummed Canton silk

LI Zheyang, MA Mingbo(), ZHOU Wenlong   

  1. College of Textile Science and Engineering(International Silk Institute), Zhejiang Sci-Tech University, Hangzhou, Zhejiang 310018, China
  • Received:2022-08-16 Revised:2022-11-17 Published:2023-02-15 Online:2023-03-07

摘要:

为确定河泥中参与莨纱绸涂层形成的有机组分,并明晰莨纱绸生产用河泥与非专用河泥(以杭州下沙河泥为例)的差别,采用碱溶酸析法将生产莨纱绸用的广东佛山顺德、西樵河泥以及杭州下沙河泥分别进行分离与纯化,将莨纱绸生产用河泥涂抹在反复浸/晒薯莨浸出液的染色坯布上并刮下表面涂层粉末,最后借助紫外-可见分光光度计、傅里叶红外光谱仪、X射线光电子能谱仪对所得各组分进行分析。结果表明:河泥中的腐殖酸和富里酸成分参与了莨纱绸涂层的形成;莨纱绸制备用河泥与杭州下沙河泥的腐殖酸和富里酸组分在结构和性质上存在较大差别,莨纱绸制备用河泥腐殖酸和富里酸分子的含氧官能团含量与芳香化程度更高,且其腐殖酸组分具有较强的铁离子结合能力,这些结构特征和特性有助于形成莨纱绸乌黑亮丽且色牢度高的涂层。

关键词: 莨纱绸, 涂层, 河泥, 腐殖质, 结构特征

Abstract:

Objective River mud is crucial for the formation of the coating on the gummed Canton silk. However, there is still a lack of understanding of the organic components in the river mud. In order to understand the key organic components and structural characteristics of the river mud used in the production of gummed Canton silk, and to clarify the difference between the river mud used in gummed Canton silk and ordinary river mud, an investigation on river muds was carried out.
Method River mud was collected from Shunde and Xiqiao, and locally from Hangzhou, which were then separated and purified. Using Hangzhou local mud as the control, river mad components characterized the obtained were characterized and obtained with the use of ultraviolet-visible (UV-vis) spectra, infrared spectra and X-ray photoelectron spectroscopy (XPS), and compared the similarities and differences between them.
Results The UV-vis spectra (Fig. 2) shows that 200-220 nm belongs to the E2 band absorption of the benzene ring, and 240-270 nm belongs to the B band absorption of the benzene ring. In addition, the oxygen containing functional group content index A253/A203 and humus aromaticity index values of river mud of gummed Canton silk were higher than those of local river mud. Infrared spectra (Fig. 3), indicates that the attached components of the fabric surface coating showed obvious spectral characteristics of humic acid and fulvic acid components. The unattached component demonstrated the spectral characteristics of the humic component. XPS full scan spectra (Fig. 5 and Tab. 2) suggests that humic acid and fulvic acid contained inorganic elements such as silicon and chlorine in addition to carbon, oxygen and nitrogen. After several times of alkali dissolution and acid precipitation, there was still some iron in the humic acid component of the river mud used for gummed Canton silk, while there was no iron in the humic acid component of local river mud. According to fitting results of carbon element peaks (Fig. 6 and Tab. 3), humic acid and fulvic acid in river mud used for gummed Canton silk contain higher aromatic carbon content and the proportion of C—O/C—OH/C—N, C=O, C(O)N, C(O)O four chemical forms.
Conclusion It was determined that humic acid and fulvic acid in the organic matter of river mud participated in the construction of the coating on the gummed Canton silk, while humin did not participate in the reaction. Compared with the local Hangzhou river mud, there are great differences in the structure and properties of humic acid and fulvic acid components in the river mud of gummed Canton silk production area. First of all, its humic acid and fulvic acid are more aromatic. Secondly, there are significant differences in the content of various functional groups, especially fulvic acid, which has higher hydroxyl, carboxyl, peptide bond and other oxygen-containing functional groups on the molecular structure of fulvic acid in river mud. Finally, its humic acid component has stronger iron ion binding capacity. The high aromatic degree of humic acid and fulvic acid in the river mud used in the production of gummed Canton silk makes the coating of gummed Canton silk more black and bright. Its high oxygen functional group content and strong iron ion complexing ability enable river mud humic acid and fulvic acid to form a stable complexing structure with dioscorea cirrhosa pigment and silk, thus forming a solid coating.

Key words: gummed Canton silk, coating, river mud, humic substance, structure characteristic

中图分类号: 

  • TS146

图1

河泥组分的分离流程"

图2

不同河泥组分的紫外-可见光谱图"

图3

不同河泥组分及涂层构筑组分的红外光谱图"

图4

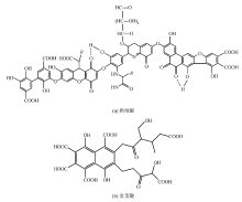
腐殖酸和富里酸的结构模型"

表1

分离纯化后河泥各组分的质量占比"

河泥 HA FA HM及其它不溶物
西樵河泥 7.09 1.46 91.45
顺德河泥 2.58 0.46 96.96
下沙河泥 0.29 0.14 99.57

图5

不同河泥中腐殖酸和富里酸组分的XPS全扫描谱图"

表2

各地区河泥中腐殖酸和富里酸组分各元素的相对含量"

样品名称 C O N Si Al Cl Fe Na K Ca S F
HA1 47.99 32.80 6.40 6.34 4.64 0.96 0.71 0.16
HA2 53.77 30.74 4.66 4.23 3.79 1.62 0.96 0.23
HA3 57.82 27.91 5.76 4.68 2.90 0.94
FA1 63.79 27.50 5.07 0.66 0.49 0.95 1.53
FA2 70.86 23.32 2.65 0.78 0.78 1.61
FA3 61.67 24.91 7.07 2.28 1.84 0.31 0.75 1.17

表3

样品中碳元素各化学形态的相对含量"

样品
名称
芳香碳 脂肪碳 α-碳 C—O/
C—OH/
C—N
C=O C(O)N C(O)O
HA1 38.16 10.07 12.42 24.40 6.39 7.38 1.18
HA2 37.43 16.80 8.63 27.36 2.72 5.72 1.35
HA3 34.39 19.52 9.63 25.38 4.43 5.07 1.58
FA1 45.38 4.91 26.94 10.00 6.81 5.01 0.94
FA2 45.50 2.69 22.89 13.96 5.68 7.02 2.25
FA3 41.56 5.84 36.29 7.21 4.66 3.92 0.52

图6

不同河泥中腐殖酸和富里酸组分的碳元素分峰拟合结果"

[1] 张羡, 石志清, 孙佳勤, 等. 莨纱绸的结构与性能初探[J]. 丝绸, 2011, 48(1): 16-19.
ZHANG Xian, SHI Zhiqing, SUN Jiaqin, et al. Exploration on structure and property of Gambiered Guangdong silk[J]. Journal of Silk, 2011, 48(1): 16-19.
[2] 陈丽灿, 石志清, 马明波, 等. 加工过程对莨纱绸织物结构的形成及性能的影响[J]. 丝绸, 2016, 53(2): 1-7.
CHEN Lican, SHI Zhiqing, MA Mingbo, et al. Effect of manufacturing processing on formation of structure and properties of gambiered Guangdong gauze[J]. Journal of Silk, 2016, 53(2): 1-7.
[3] 李维贤. 香云纱工艺中晒莨工序的染色机制[J]. 纺织学报, 2016, 37(2): 103-111.
LI Weixian. Dyeing mechanism of sunning process in production of gambiered Guangdong silk[J]. Journal of Textile Research, 2016, 37(2): 103-111.
doi: 10.1177/004051756703700206
[4] 周青青, 陈国强, 叶皓华. 复合金属离子对薯莨提取液增重真丝的处理[J]. 丝绸, 2009, 46(5): 14-17.
ZHOU Qingqing, CHEN Guoqiang, YE Haohua. Treatment of complex metal ions for weighting the silk fabric with Dioscorea Cirrhosa extract[J]. Journal of Silk, 2009, 46(5): 14-17.
[5] 何肖, 马明波, 鲁庚, 等. 薯莨水溶提取组分的初步分析[J]. 纺织学报, 2015, 36(5): 63-68.
HE Xiao, MA Mingbo, LU Geng, et al. Primary analysis on pigment components of Dioscorea Cirrhosa roots[J]. Journal of Textile Research, 2015, 36(5): 63-68.
[6] 马明波. 莨纱绸形成机理及薯莨色素与蚕丝蛋白的相互作用[D]. 杭州: 浙江理工大学, 2016: 37-40.
MA Mingbo. Formation mechanism of gummed Canton silk and the interaction between silk protein and the pigment from root of Dioscorea Cirrhosa Lour[D]. Hangzhou: Zhejiang Sci-Tech University, 2016: 37-40.
[7] ZOMEREN A V, COMANS R N J. Measurement of humic and fulvic acid concentrations and dissolution properties by a rapid batch procedure[J]. Environ Sci Technol, 2007, 41(19): 6755-6761.
pmid: 17969691
[8] USSIRI D A N, JOHNSON C E. Characterization of organic matter in a northern hardwood forest soil by 13C NMR spectroscopy and chemical methods[J]. Geoderma, 2003, 111(1/2): 123-149.
doi: 10.1016/S0016-7061(02)00257-4
[9] CHEN Jie, GU Baohua, LEBOEUF Eugene J, et al. Spectroscopic characterization of the structural and functional properties of natural organic matter fractions[J]. Chemosphere, 2002, 48(1): 59-68.
pmid: 12137058
[10] 李帅东, 姜泉良, 黎烨, 等. 环滇池土壤溶解性有机质(DOM)的光谱特征及来源分析[J]. 光谱学与光谱分析, 2017, 37(5): 1448-1454.
LI Shuaidong, JIANG Quanliang, LI Ye, et al. Spectroscopic characteristics and sources of dissolved organic matter from soil around Dianchi Lake, Kun-ming[J]. Spectroscopy and Spectral Analysis, 2017, 37(5): 1448-1454.
[11] 张亚楠, 张莉, 孙清轩, 等. 北运河上覆水DOM组分含量特征及对水质的影响[J]. 中国环境科学, 2021, 41(8): 3816-3824.
ZHANG Yanan, ZHANG Li, SUN Qingxuan, et al. Content characteristics of DOM components in overlying water of Beiyun river and its influence on water quality[J]. China Environmental Science, 2021, 41(8): 3816-3824.
[12] STEVENSON F J. Humus chemistry: genesis, composition, reactions[M]. New York: Wiley, 1982: 443.
[1] 丁娟, 刘阳, 张晓飞, 郝克倩, 宗蒙, 孔雀. Fe/C多孔碳材料制备及其涂层棉织物的吸波性能[J]. 纺织学报, 2023, 44(02): 191-198.
[2] 吕丽华, 李臻. 废弃玉米秸秆的结构特征及其吸声性能[J]. 纺织学报, 2022, 43(12): 42-47.
[3] 解开放, 罗凤香, 包新军, 周衡书, 徐广标. 高耐磨性复合涂层涤纶通丝的制备及其性能[J]. 纺织学报, 2022, 43(03): 123-131.
[4] 陈智杰, 虞一浩, 符晔, 雷鹏飞, 蒋继康, 戚栋明. 柔性阻燃聚酰胺湿法涂层织物的制备及其性能[J]. 纺织学报, 2021, 42(11): 110-116.
[5] 朱兰芳, 白洁, 周吟澄, 侯成伟. 超声波处理对涤纶织物聚氨酯涂层中4,4'-二氨基二苯甲烷的影响[J]. 纺织学报, 2021, 42(11): 124-128.
[6] 杨露, 薛涛, 孟家光, 杨豆豆. 3D打印柔性服装面料的负离子功能整理及其性能[J]. 纺织学报, 2021, 42(08): 102-108.
[7] 丁子寒, 邱华. 纳米二氧化硅改性水性聚氨酯防水透湿涂层织物的制备及其性能[J]. 纺织学报, 2021, 42(03): 130-135.
[8] 吕丽华, 刘英杰, 郭静, 王滢, 毕吉红, 叶方. 废弃羽毛的结构特征及其吸声性能[J]. 纺织学报, 2020, 41(01): 32-38.
[9] 贾高鹏, 宋小红, 李莹, 刘晓丹, 潘雪茹. 铜镍金属涂层机织物拉伸过程中电流的响应[J]. 纺织学报, 2019, 40(10): 68-72.
[10] 缪特, 张如全, 冯阳. 纳米发泡整理对芳纶过滤材料性能的影响[J]. 纺织学报, 2019, 40(09): 108-113.
[11] 徐艳, 籍晓倩, 陈坤林, 王潮霞. 自着色水性聚氨酯制备及其在棉织物涂层中的应用[J]. 纺织学报, 2019, 40(07): 85-89.
[12] 张思, 吴敏. 紫外光固化密胺树脂的合成及涂层织物性能测试[J]. 纺织学报, 2019, 40(06): 64-67.
[13] 雷鹏飞, 黄亚伟, 袁森浩, 李红艳, 王成龙, 郑今欢. 油酸原位合成碳酸钙及其在聚酰胺湿法涂层中的应用[J]. 纺织学报, 2019, 40(05): 70-77.
[14] 李强林, 黄方千, 肖秀婵, 邱诚, 吴菊珍. 新型无卤聚合物阻燃剂的研究进展[J]. 纺织学报, 2019, 40(04): 177-184.
[15] 杨婉秋, 刘晓艳, 于伟东. 多层防刺材料中间隔织物的缓冲作用[J]. 纺织学报, 2019, 40(04): 51-54.
Viewed
Full text


Abstract

Cited

  Shared   
  Discussed   
[1] 曹建达;顾小军;殷联甫. 用BP神经网络预测棉织物的手感[J]. 纺织学报, 2003, 24(06): 35 -36 .
[2] 朱敏;周翔. 准分子激光对聚合物材料的表面改性处理[J]. 纺织学报, 2004, 25(01): 1 -9 .
[3] 高伟江;魏文斌. 纺织业发展的战略取向——从比较优势到竞争优势[J]. 纺织学报, 2004, 25(02): 111 -113 .
[4] 潘旭伟;顾新建;韩永生;程耀东. 面向协同的服装供应链快速反应机制研究[J]. 纺织学报, 2006, 27(1): 54 -57 .
[5] 钟智丽;王训该. 纳米纤维的应用前景[J]. 纺织学报, 2006, 27(1): 107 -110 .
[6] 罗军;费万春. 生丝中各层次茧丝数的概率分布[J]. 纺织学报, 2006, 27(2): 1 -4 .
[7] 包晓敏;汪亚明. 基于最小风险贝叶斯决策的织物图像分割[J]. 纺织学报, 2006, 27(2): 33 -36 .
[8] 牛增元;房丽萍.;杨桂朋;薛秋红;王境堂;孙忠松. 纺织品中邻苯二甲酸酯类环境激素在人工汗液中的迁移[J]. 纺织学报, 2006, 27(2): 74 -77 .
[9] 张金秋;张华;郝新敏;姜凤琴. 大麻纤维高温煮练时间与脱胶质量的关系[J]. 纺织学报, 2006, 27(2): 81 -83 .
[10] 郑天勇.;崔世忠. 用B样条曲面构建纱线三维模型的研究(Ⅱ):纱线捻度的三维模拟[J]. 纺织学报, 2006, 27(3): 24 -26 .