纺织学报 ›› 2024, Vol. 45 ›› Issue (04): 89-95.doi: 10.13475/j.fzxb.20221002801

• 纺织工程 • 上一篇    下一篇

含镍铬合金丝纬编电加热层复合材料的层间剪切性能

冯亚1,2, 孙颖1,2(), 崔艳超3, 刘梁森2, 张宏亮3, 胡俊军1,2, 居傲1,2, 陈利1,2   

  1. 1.天津工业大学 纺织科学与工程学院, 天津 300387
    2.天津工业大学 先进纺织复合材料教育部重点实验室, 天津 300387
    3.天津航空机电有限公司, 天津 300308
  • 收稿日期:2022-10-18 修回日期:2023-08-30 出版日期:2024-04-15 发布日期:2024-05-13
  • 通讯作者: 孙颖(1974—),女,教授,博士。研究方向为高性能纤维编织材料及其复合材料。E-mail: sunying@tiangong.edu.cn。
  • 作者简介:冯亚(1997—),女,硕士生。主要研究方向为纬编功能性复合材料。

Interlaminar shear properties of composites with Ni-Cr alloy weft knitted electric heating layer

FENG Ya1,2, SUN Ying1,2(), CUI Yanchao3, LIU Liangsen2, ZHANG Hongliang3, HU Junjun1,2, JU Ao1,2, CHEN Li1,2   

  1. 1. School of Textile Science and Engineering, Tiangong University, Tianjin 300387, China
    2. Key Laboratory of Advanced Textile Composites(Ministry of Education), Tiangong University, Tianjin 300387, China
    3. Tianjin Aviation Electromechanical Co., Ltd., Tianjin 300308, China
  • Received:2022-10-18 Revised:2023-08-30 Published:2024-04-15 Online:2024-05-13

摘要:

为开发既具有电加热功能特性又满足承载结构基本力学性能要求的玻璃纤维/环氧层合复合材料,选取3种直径的镍铬合金丝,设计制备了平针、罗纹和双罗纹3种组织结构的纬编电加热织物,以镍铬合金丝纬编织物作为中间电加热层,优选热压罐复合成型工艺,制备了玻璃纤维/环氧层合复合材料。利用红外热像仪和万能试验机分别测试了复合材料的电加热性能和层间剪切性能。结果表明:在8 V直流电压下,6种复合材料均能升温到37 ℃ 以上,最高可达72 ℃,耗时30 s;最高平衡温度与镍铬合金丝直径成正相关,平针组织复合材料最高平衡温度最高,双罗纹组织复合材料表面温度均匀性最好;含镍铬合金丝纬编电加热层的玻璃纤维/环氧层合复合材料层间剪切强度相较于不含电加热层复合材料层间剪切强度保留率为74.1%~97.4%。初步研究工作表明,含镍铬合金丝纬编电加热层复合材料可同时实现玻璃纤维/环氧层合复合材料功能与结构的兼顾,有望满足直升机发动机进气道防/除冰系统的设计需求。

关键词: 复合材料, 纬编织物, 镍铬合金丝, 电热性能, 层间剪切强度

Abstract:

Objective In order to ensure the helicopter can operate safely in all weather, especially at low temperature, the engine inlet anti-icing protection is necessary. Therefore, it is of great significance to develop electrothermal composites that can not only meet the requirements of lightweight helicopter inlet structure, but also realize the heating function. Due to the structural complexity of the multi curvature of the helicopter inlet, a glass filer/epoxy laminated composite with integrated structure and function is developed based on the weft knitted fabric with excellent formability performance.

Method Three kinds of nickel chromium alloy wires of different fineness are selected to design and prepare 9 kinds of fabrics with three kinds of weave structures: plain, rib and interlock. Based on the principle of minimum thickness, six kinds of weft knitted electrically heated fabrics were selected. The glass filer/epoxy laminated composite was prepared by using nickel chromium alloy weft knitted fabric as the intermediate electric heating layer and the autoclave composite molding process was preferred. The electrothermal properties and interlaminar shear properties of the composites were tested by infrared thermography and universal testing machine.

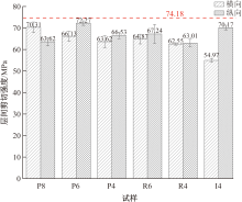
Results The results showed that under 8 V direct current(DC) voltage, the temperature of the six kinds of electrothermal composites can rise above 37 ℃, up to 72 ℃, taking 30 s, and the heating rate can reach 1.58 ℃/s. The composites showed that the maximum equilibrium temperature is positively related to the fineness of Ni-Cr alloy wire. Under 8 V DC voltage, the maximum equilibrium temperature of plain composite samples with nickel chromium alloy wire fineness of 0.08 mm, 0.06 mm and 0.04 mm in 30 s is 72.8 ℃, 67.1 ℃ and 49.0 ℃respectively. Compared with rib and interlock, the maximum equilibrium temperature of plain structure composite is the highest. Based on the fineness diameter of nickel chromium alloy wire is 0.04 mm, the maximum equilibrium temperature of plain, rib and interlock electrothermal composite samples reached in 30 s is 49.0 ℃, 37.2 ℃ and 45.7 ℃ respectively. The electric heating surface temperature of the six electric heating composite materials is evenly distributed, and the temperature difference is within 7 ℃. The surface temperature uniformity of interlock composite is better than that of plain and rib composites, and the surface temperature difference is only 3 ℃. The interlaminar shear strength of glass/epoxy laminated composite without electric heating layer is 74.18 MPa. The interlaminar shear strengths of the longitudinal and transverse specimens of the electrothermal composite materials are higher than 54.97 MPa and 63.01 MPa, respectively. The retention rate of interlaminar shear strength of electrothermal composites is about 74%-97% compared with that of composites without electrothermal layer. The damage morphology of composite sample after was analyzed. According to the analysis of the damage morphology of the electrothermal samples after interlaminar shear test, the longitudinal and transverse shear samples mainly failed because of the bending failure of the outermost prepreg on the lower surface, and a little interface delamination occurred in the middle layer due to the shear failure, but the structure of electrothermal weft knitted reinforced fabric was not damaged.

Conclusion The preliminary research work shows that the glass filer/epoxy laminated composite material with nickel chromium alloy wire weft knitted fabric as the intermediate electric heating layer prepared by the autoclave composite molding process can achieve both the electric heating function and the bearing mechanical properties of the composite material at the same time, which is expected to meet the design requirements of the helicopter engine inlet anti-icing/deicing system. In addition, it broadens the application range of weft knitted fabric, and also provides a new way for the diversification of the composite electric heating layer used for electric anti-icing, which has the significance of engineering practical application.

Key words: composite, weft knitted fabric, Ni-Cr alloy wire, electrothermal property, interlaminar shear strength

中图分类号: 

  • TB332

表1

3种直径镍铬合金丝主要性能参数与测试值"

直径/
mm
电阻/
Ω
抗拉强度/MPa 断裂伸
长率/%
勾结强度实
测值/MPa
指标值 实测值
0.08 230.2 750 825±30 28±2 1 157±100
0.06 385.3 750 808±50 22±1 1 164±70
0.04 877.0 750 791±50 18±1 1 180±120

表2

玻璃纤维/环氧预浸料主要规格与工艺参数"

厚度/
mm
组织
规格
面密度/
(g·cm-2)
树脂含
量/%
固化温
度/℃
固化时
间/h
0.25± 0.02 平纹 280± 20 40 ± 2 180 4

图1

电加热织物纱线交织结构图"

图2

电加热织物实物图"

表3

镍铬合金丝纬编电加热织物结构参数"

试样
编号
横密/
(纵行·(5 cm)-1)
纵密/
(横列·(5 cm)-1)
面密度/
(g·m-2)
厚度/
mm
P8 26 68 122.5 0.44
P6 26 66 93.9 0.34
P4 30 64 66.8 0.31
R8 27 42 99.1 0.55
R6 27 40 74.1 0.35
R4 30 39 54.1 0.25
I8 26 44 197.6 0.70
I6 26 39 148.9 0.55
I4 26 34 102.1 0.39

图3

热压罐复合成型工艺示意图"

图4

电加热性能测试"

图5

短梁剪切性能测试"

图6

8 V电压下6种试样的升温曲线"

表4

8 V电压下6种试样电加热性能参数"

试样
编号
实际电
流/A
电阻/
Ω
功率密度/
(W·cm-2 )
30 s最高平衡
温度/℃
升温速率/
(℃·s-1)
P8 13.98 0.57 1.12 72.8 1.59
P6 11.33 0.71 0.91 67.1 1.40
P4 4.91 1.63 0.39 49.0 0.80
R6 4.66 1.72 0.37 48.2 0.77
R4 2.20 3.64 0.18 37.2 0.40
I4 4.45 1.80 0.36 45.7 0.69

图7

复合材料表面温度分布直方图"

表5

6组电加热复合材料试样层间剪切强度保留率"

试样 剪切强度保留率
纵向 横向
P8 85.8 94.8
P6 97.4 89.1
P4 89.7 85.8
R6 90.6 87.4
R4 84.9 84.3
I4 94.6 74.1

图8

短梁剪切载荷-位移曲线"

图9

7组试样层间剪切强度"

图10

试样纵向和横向剪切后损伤形貌(×40)"

[1] FALZON Brian G, ROBINSON Paul, FRENZ Sabine, et al. Development and evaluation of a novel integrated anti-icing/de-icing technology for carbon fibre composite aerostructures using an electro-conductive textile[J]. Composites, Part A:Applied Science and Manufacturing, 2015,68:323-335.
[2] MOHAMMED Abubakar Gambo, OZGUR Gokhan, SEVKAT Ercan. Electrical resistance heatingfor deicing and snow melting applications: experimental study[J]. Cold Regions Science and Technology, 2019,160:128-138.
[3] LIANG Wenyan, WANG Fangxin, TAY Earn Tong, et al. Experimental and analytical investigation of epoxy/WCNT nanocomposites: electrical, thermal properties,and electric heating behavior[J]. Polymer Engineering and Science, 2020, 60(2):233-242.
[4] PAN Lei, LIU Ziheng, KIZILTAS Oguzhan, et al. Carbon fiber/poly (ether ether ketone) composites modified with graphene for electro-thermal deicing applications[J]. Composites Science and Technology, 2020.DOI:10.1016/j.compscitech.2020.108117.
[5] YUE Chengming, ZHANG Yingying, LU Weibang, et al. Realizing the curing of polymer composite materials by using electrical resistance heating: a review[J]. Composites, Part A:Applied Science and Manufacturing, 2022,163:1-8.
[6] CAO Yanhong, et al. FARHA Farial Islam,GE Dongsheng,Highly effective e-heating performance of nickel coated carbon fiber and its composites for deicing application[J]. Composite Structures, 2019,229:1-7
[7] HAN Shuanye, WEI Haibin, HAN Leilei, et al. Durability and electrical conductivity of carbon fiber cloth/ethylene propylene diene monomer rubber composite for active deicing and snow melting[J]. Multidisciplinary Digital Publishing Institute, 2019, 11(12):1-17.
[8] 谌广昌, 纪双英, 赵文明, 等. 直升机旋翼除冰系统加热垫试验研究[J]. 航空工程进展, 2019, 10(2):201-205.
CHEN Guangchang, JI Shuangying, ZHAO Wenming, et al. Experimental study on heating pad of helicopter rotor deicing system[J]. Progress in Aviation Engineering, 2019, 10(2):201-205.
[9] LEE Junsung, JO Hyeonseung, CHOE Hyeonseok, et al. Electro-thermal heating element with a nickel-plated carbon fabric for the leading edge of a wing-shaped composite application[J]. Composite Structures, 2022,289:1-7.
[10] 杨常卫, 张功虎, 孙涛, 等. 黑鹰直升机旋翼桨叶防/除冰系统研究[J]. 直升机技术, 2011, 40(1): 37-44.
YANG Changwei, ZHANG Gonghu, SUN Tao, et al. Research on anti icing/deicing system of Black Hawk helicopter rotor blades[J]. Helicopter Technique, 2011, 40(1): 37-44.
[11] 戴海军, 李嘉禄, 孙颖, 等. 纬编双轴向织物/环氧树脂电加热复合材料电热及层间剪切性能[J]. 复合材料学报, 2020, 37(8):1997-2004.
DAI Haijun, LI Jialu, SUN Ying, et al. Electrothermal and interlaminar shear properties of weft knitted biaxial fabric/epoxy electrically heated composites[J]. Journal of Composites, 2020, 37(8):1997-2004.
[12] 陈莉, 刘皓. 可加热纬编针织物的电热性能[J]. 纺织学报, 2015, 36(4): 50-54.
CHEN Li, LIU Hao. Electric heating performance of heatable weft knitted fabric[J]. Journal of Textile Research, 2015, 36(4): 50-54.
[13] LIU Hao, LI Jin, CHEN Li, et al. Thermal-electronic behaviors investigation of knitted heating fabrics based on silver plating compound yarns[J]. Textile Research Journal, 2015, 86(13) :1398-1412.
[14] ZHANG Mingchao, WANG Chunya, LIANG Xiaoping, et al. Weft-knitted fabric for a highly stretchable and low-voltage wearable heater[J]. Advanced Electronic Materials, 2017, 3(9):1-8.
[15] HAMDANI Syed Talha Ali, POTLURI Prasad, FERNANDO Anura. Thermo-mechanical behavior of textile heating fabric based on silver coated polymeric yarn[J]. Materials, 2013, 6(3):1072-1089.
doi: 10.3390/ma6031072 pmid: 28809358
[16] HAMDANI Syed Talha Ali, FERNANDO Anura, MAQSOOD Muhammad. Thermo-mechanical behavior ofstainless steel knitted structures.[J]. Heat and Mass Transfer, 2016, 52(9):1861-1870.
[17] 许静娴, 刘莉, 李俊. 镀银纱线电热针织物的开发及性能评价[J]. 纺织学报, 2016, 37(12):24-28.
XU Jingxian, LIU Li, LI Jun. Development and perfor mance evaluation of electrically-heated textile based on silver-coated yarn[J]. Journal of Textile Research, 2016, 37 (12):24-28.
[18] 郭梦惟, 孙颖, 王昆, 等. 聚酰亚胺纤维纬编织物增强橡胶基复合材料冲击性能[J]. 复合材料学报, 2022, 39(10):1-9.
GUO Mengwei, SUN Ying, WANG Kun, et al. Impact properties of polyimide fiber weft knitted rubber matrix composites[J]. Journal of Composite Materials, 2022, 39(10):1-9.
[19] ZHANG Yiping, LONG Hairu. The biaxial tensile elastic properties of plain knitted fabrics[J]. Journal of Fiber Bioengineering & Informatics, 2010, 3(1):27-31.
[1] 贾笑娅, 王蕊宁, 孙润军. SiO2/聚乙二醇200/碳纳米管剪切增稠液浸渍芳纶织物及其复合材料防刺性能[J]. 纺织学报, 2024, 45(04): 151-159.
[2] 陈锟, 许晶莹, 郑怡倩, 李加林, 洪兴华. 丝网印刷还原氧化石墨烯改性蚕丝织物的导电与电热性能[J]. 纺织学报, 2024, 45(03): 122-128.
[3] 居傲, 向卫宏, 崔艳超, 孙颖, 陈利. 基于定制纤维铺放工艺的电加热织物制备及其半球成型性能[J]. 纺织学报, 2024, 45(02): 67-76.
[4] 方春月, 刘紫璇, 贾立霞, 阎若思. 双等离子体改性超高分子量聚乙烯复合材料的弹道响应[J]. 纺织学报, 2024, 45(02): 77-84.
[5] 谷元慧, 王曙东, 张典堂. 基于多尺度模型的编织复合材料圆管扭转行为有限元模拟[J]. 纺织学报, 2023, 44(12): 88-95.
[6] 贾丽萍, 黎明, 李威龙, 冉建华, 毕曙光, 李时伟. 基于长银纳米线的应变传感与电热双功能包芯纱的制备及其性能[J]. 纺织学报, 2023, 44(10): 113-119.
[7] 李麒阳, 季诚昌, 郗欣甫, 孙以泽. 大尺寸异形结构芯模编织策略及纱线轨迹预测[J]. 纺织学报, 2023, 44(10): 188-195.
[8] 左祺, 吴华伟, 王春红, 杜娟娟. 纱线结构对苎麻短纤纱复合材料拉伸性能的影响[J]. 纺织学报, 2023, 44(10): 81-89.
[9] 钱晨, 黄博翔, 李永强, 万军民, 傅雅琴. 增强纤维用上浆剂的耐高温化改性研究进展[J]. 纺织学报, 2023, 44(09): 232-242.
[10] 孙明涛, 陈成玉, 闫伟霞, 曹珊珊, 韩克清. 针刺加固频率对黄麻纤维/聚乳酸短纤复合板性能的影响[J]. 纺织学报, 2023, 44(09): 91-98.
[11] 汪泽幸, 周衡书, 杨敏, 谭冬宜. 不同循环加载路径下黄麻织物/聚乙烯复合材料的变形特性[J]. 纺织学报, 2023, 44(09): 99-107.
[12] 安雪, 刘太奇, 李言, 赵小龙. 牢固结合的多层纳米纤维复合材料的制备及其过滤性能[J]. 纺织学报, 2023, 44(08): 50-56.
[13] 陈露, 吴孟锦, 贾立霞, 阎若思. 氧等离子体改性超高分子量聚乙烯纤维复合材料层间损伤声发射特征分析[J]. 纺织学报, 2023, 44(07): 116-125.
[14] 段成红, 吴港本, 罗翔鹏. 基于DIGIMAT的碳纤维增强环氧树脂编织复合材料的力学性能[J]. 纺织学报, 2023, 44(07): 126-131.
[15] 杨金, 李麒阳, 季霞, 孙以泽. 复合材料编织-缠绕-拉挤系统建模及其控制策略[J]. 纺织学报, 2023, 44(07): 199-206.
Viewed
Full text


Abstract

Cited

  Shared   
  Discussed   
No Suggested Reading articles found!