纺织学报 ›› 2025, Vol. 46 ›› Issue (02): 145-152.doi: 10.13475/j.fzxb.20240907601

• 染整工程 • 上一篇    下一篇

α-(三氟甲基)苯基重氮酯型染料与合成纤维的反应机制

解晓康, 江华(), 王也, 石璐璐   

  1. 浙江理工大学 生态染整技术教育部工程研究中心, 浙江 杭州 310018
  • 收稿日期:2024-09-29 修回日期:2024-11-04 出版日期:2025-02-15 发布日期:2025-03-04
  • 通讯作者: 江华(1988—),男,副教授,博士。主要研究方向为高性能染料与新型染色技术。E-mail:jh@zstu.edu.cn
  • 作者简介:解晓康(1999—),男,硕士生。主要研究方向为卡宾型染料的开发与应用。
  • 基金资助:
    国家自然科学基金项目(22278377);浙江省自然科学基金项目(LY22B060005);浙江理工大学基本科研业务费项目(24202101-Y)

Reaction mechanism between α-trifluoromethyl phenyl diazo ester dye and synthetic fiber

XIE Xiaokang, JIANG Hua(), WANG Ye, SHI Lulu   

  1. Engineering Research Center for Eco-Dyeing & Finishing of Textiles, Ministry of Education, Zhejiang Sci-Tech University, Hangzhou, Zhejiang 310018, China
  • Received:2024-09-29 Revised:2024-11-04 Published:2025-02-15 Online:2025-03-04

摘要:

为解决分散染料染色纤维中染料分子与纤维亲和力不足的问题,在C.I.分散红13结构中引入α-(三氟甲基)苯基重氮酯结构,设计合成新型卡宾型染料,将该染料应用于涤纶、丙纶、氨纶和锦纶的染色,测试了固色率、染料移染率和色牢度,并通过模拟反应以及理论计算推测了染料与纤维的反应机制。结果表明:使用所合成染料染色的4种合成纤维均有固色效果,固色率分别达到73%(涤纶)、48%(丙纶)、85%(氨纶)和53%(锦纶),染料移染率为12%~14%,色牢度达到4级及以上。与C—H键插入反应相比,染料在高温下形成的卡宾中间体更易与N—H键发生反应,脂肪链C—H键的插入反应是染色涤纶或丙纶的主要固色反应类型,N—H键插入反应则是染色氨纶或锦纶的主要固色反应类型。

关键词: 重氮化合物, 分散染料, 合成纤维, 染色性能, 反应机制

Abstract:

Objective The carbene-type dye that emerged in recent years could achieve strong covalent bonding between dyes and fibers, which is expected to solve the thermal migration problem of conventional disperse dyes. To date, the carbene dyes are still not widely available, and the reaction mechanism between dyes and fibers is yet to be fully understood. This research developed a novel carbene-type dye based on the structure of α-(trifluoromethyl)phenyl diazo ester, which was used for dyeing and fixing various synthetic fibers. This paper article aims to reveal the reaction mechanism between dyes and fibers by further simulation experiments and theoretical calculations.

Method Dye D1 was synthesized through a two-step post-modification of an azo dye containing one hydroxyl group. The absorption and thermal properties of dye D1 were studied. Then, dye D1 was applied to dyeing polyester, polypropylene, polyurethane and polyamide fibers. The color firmness was confirmed by testing fixation, dye migration and fastness properties. Simulation reactions between D1 and small molecule analogues, such as benzene, dioxane, cyclohexane, and piperidine, were used to clarify the reaction site on fibers. Theoretical calculations of reactions between 4-(trifluoromethyl)phenyldiazoacetic acid methyl ester and methane or methylamine were performed. Based on the above, the reaction mechanism between the dye and fiber was speculated.

Results Dye D1 with an overall yield of 79% was obtained through the two-step post-modification of azo dye. The color of dye D1 was red and its maximum absorption wavelength in UV-vis absorption spectrum located at 492 nm, with a molar extinction coefficient of 35 300 L/(mol·cm). The thermogravimetric curve of dye D1 showed a weight loss of 5.6% at 100-200 ℃, with a quickest weight loss temperature of 152 ℃. The weight loss at this stage was related to the dissociation of the diazo group by releasing nitrogen gas. The DSC curve indicated one endothermic peak with the temperature of 141 ℃, and one exothermic peak corresponding to a temperature of 160 ℃. During the heating process, dye D1 converted into carbene intermediates, accompanied with the removal of nitrogen gas. Highly active carbenes would undergo insertion reactions with C—H or N—H bonds on fibers. Four types of synthetic fibers dyed with dye D1 showed good fixation values of 73% for polyester, 48% for polypropylene, 85% for polyurethane and 53% for polyamide. Dye migrations of dyed fibers were only 12%-14%, and the color fastnesses to soaping, rubbing and sublimation reached level 4 or above. Simulation reaction results demonstrated that dye D1 and benzene underwent an additional reaction with an optimal yield of 54% at the temperature of 140 ℃. Dye D1 and dioxane underwent ring expansion reaction, and the optimal yield is 62% when the reaction temperature was 110 ℃. A C—H bond insertion reaction between D1 and cyclohexane occurred at an optimal reaction temperature of 150 ℃ in a 78% yield, and an N—H bond insertion reaction between D1 and pyridine took place at an optimal reaction temperature of 130 ℃ in a 50% yield. The reaction of dyes in a mixed solvent of benzene and dioxane produced cycloaddition product with a yield of 12% and ring expansion reaction product with a yield of 51%. The reaction of dyes in a mixed solvent of cyclohexane and piperidine produced cyclohexane C—H insertion product with a yield of only 6%, and piperidine N—H insertion product with a yield of 35%. Theoretical calculations showed a potential barrier of 31.3 kJ/mol for the conversion of 4-(trifluoromethyl)phenyldiazoacetic acid methyl ester to carbenes. N—H bond insertion reactions was mainly dominated by singlet—state carbenes. C—H bond insertion reactions was initiated from triplet carbenes with a potential barrier of 65 kJ/mol.

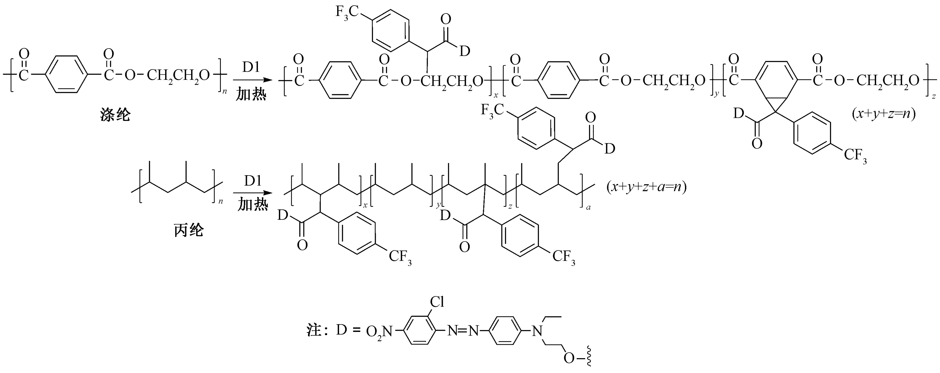
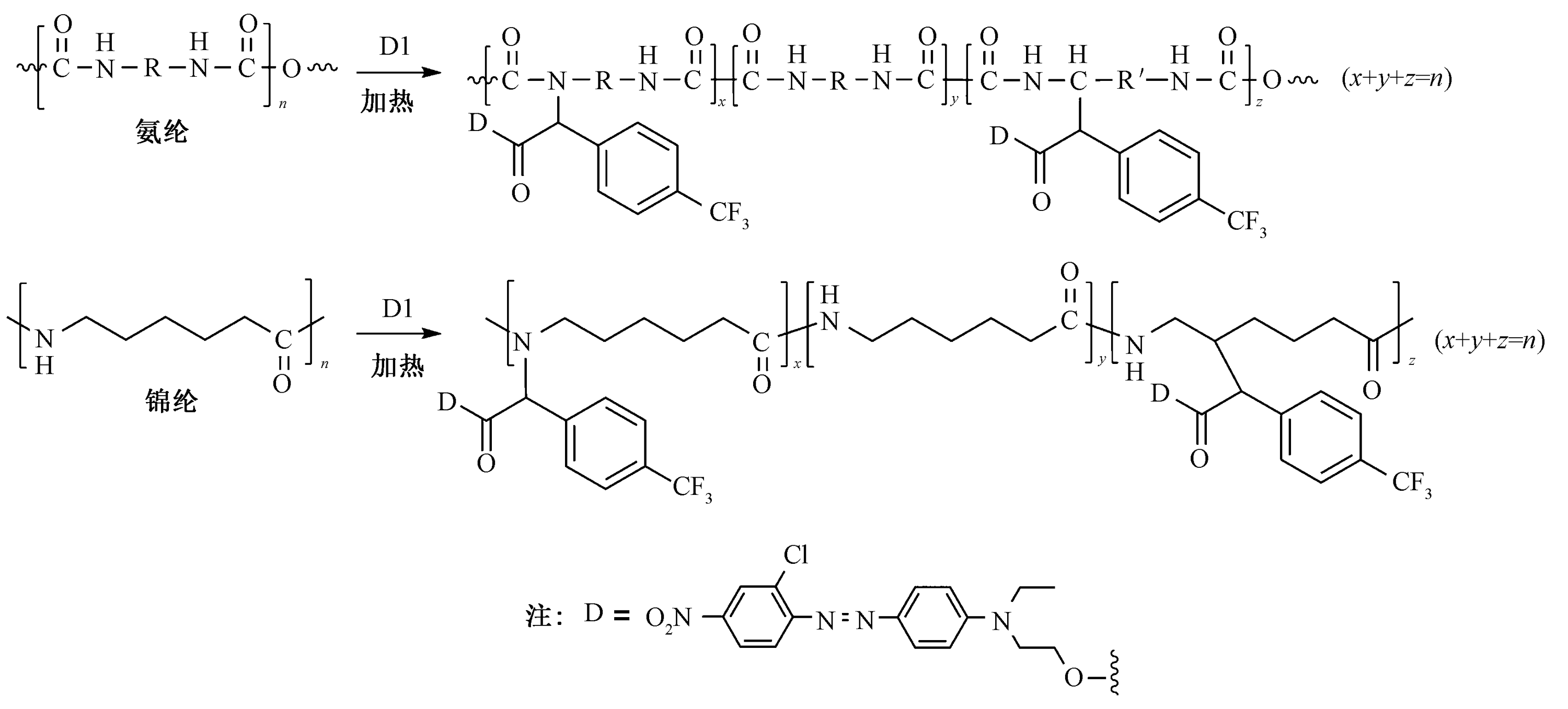
Conclusion The carbene-type dye based on α-(trifluoromethyl)phenyl diazo ester structure could react with synthetic fibers. The dyed synthetic fibers exhibited remarkable color firmness with the fixation values between 48%-85%, good resistance to dye migration and excellent color fastnesses to soaping, rubbing and sublimation. For polyester fiber, ethylene glycol ester units could react with carbene intermediates through C—H bond insertion reaction, and benzene ring could react with carbene intermediates through addition reaction. For polypropylene fiber, C—H bond insertion reaction was the main reaction type between dyes and fibers. For polyurethane and polyamide fibers, the insertion reaction between carbene intermediates and N—H bonds on fiber macromolecules was the main reaction type.

Key words: diazo compound, disperse dye, synthetic fiber, dyeing property, reaction mechanism

中图分类号: 

  • TQ613.1

图1

染料D1的结构及其合成路线 注:步骤(a)反应条件:DCC,DMAP,DCM,40 ℃,12 h;步骤(b)反应条件:p-ABSA,DBU,MeCN,25 ℃,12 h。"

图2

化合物2~5的结构"

图3

染料D1和C.I.分散红13的紫外-可见吸收光谱"

图4

染料D1的热重曲线"

图5

染料D1的DSC曲线"

图6

染色各类纤维固色率随固色温度的变化曲线"

表1

染色合成纤维的移染性数据"

纤维种类 (K/S)A (K/S)B 移染率/%
涤纶 4.0 0.53 13
丙纶 4.3 0.50 12
氨纶 6.3 0.89 14
锦纶 5.6 0.65 12

表2

Color fastness of dyed fabrics 级"

种类
纤维
耐皂洗色牢度 耐摩擦色牢度 耐升华色牢度
变色 沾色 棉沾 湿 变色 沾色 棉沾
涤纶 5 5 5 4~5 4~5 5 5 5
丙纶 5 5 5 4 4 5 4~5 5
氨纶 4~5 4 5 5 4~5 5 4~5 5
锦纶 4~5 4 5 5 5 4~5 4 4~5

图7

化合物2~5的收率随反应温度的变化曲线"

图8

化合物6和甲胺或甲烷的气相自由能反应坐标"

图9

染料D1与涤纶和丙纶的推测反应机制示意图"

图10

染料D1与氨纶和锦纶的推测反应机制示意图"

[1] 熊友根, 谭全胜, 刘海兵. 分散染料热迁移对聚酯纤维染色牢度的影响与改善方法[J]. 印染助剂, 2024, 41(4): 42-45.
XIONG Yougen, TAN Quansheng, LIU Haibing. Effect of thermal migration of disperse dyes on dyeing fastness of polyester fibers and its improvement method[J]. Textile Auxiliaries, 2024, 41(4): 42-45.
[2] 阮光栋, 陆根发, 袁利琴. 分散染料染二醋/涤纶/氨纶混纺织物工艺研究[J]. 染料与染色, 2023, 60(2): 27-31.
RUAN Guangdong, LU Genfa, YUAN Liqin. Study on dyeing diacetate/polyester/spandex blended fabric with disperse dyes[J]. Dyestuffs and Coloration, 2023, 60(2): 27-31.
[3] QIAN L, FANG S J, SONG X Y, et al. An alternative strategy for the synthesis of disazo disperse dyes and their application on polyester fabric[J]. Dyes and Pigments, 2023. DOI: 10.1016/j.dyepig.2023.111188.
[4] 何思佳, 蔡金芳, 江华, 等. 取代基效应对双亚芴基醌式噻吩类染料性能的影响[J]. 浙江理工大学学报(自然科学版), 2022, 47(3): 283-292.
HE Sijia, CAI Jinfang, JIANG Hua, et al. The impact of substituent effect on properties of difluorenylidene quinoidal thiophene dyes[J]. Journal of Zhejiang Sci-Tech University(Natural Scionces Edition), 2022, 47(3): 283-292.
[5] JIANG H, GUO G L, CHEN W G, et al. Reactive dyeing of synthetic fibers employing dyes containing a diazirine moiety[J]. Dyes and Pigments, 2021. DOI: 10.1016/j.dyepig.2021.109555.
[6] WANG Y P, ZHAO T, BI X Y, et al. Synthesis of novel carbene dyes and investigation of their dyeing properties and reacion mechanism for various fab-rics[J]. Dyes and Pigments, 2024. DOI: 10.1016/j.dyepig.2023.111784.
[7] HOVEIZAVI N B, FEIZ M. Synthesis of novel dyes containing a dichlorotriazine group and their applications on nylon 6 and wool[J]. Dyes and Pigments, 2023. DOI:10.1016/j.dyepig.2023.111086.
[8] KOTRADE P F, RÜHE J. Malonic acid diazoesters for C—H insertion crosslinking (CHic) reactions: a versatile method for the generation of tailor-made surfaces[J]. Angewandte Chemie International Edition, 2017, 56(46): 14405-14410.
[9] HANSEN S R, SPANGLER J E, HANSEN J H, et al. Metal-free N—H insertions of donor/acceptor car-benes[J]. Organic Letters, 2012, 14(17): 4626-4629.
[10] TORTORETO C, RACKL D, DAVIES H M L. Metal-free C—H functionalization of alkanes by aryldiazoacetates[J]. Organic Letters, 2017, 19(4): 770-773.
[11] MAITI D, DAS R, SEN S. Photolytic amino etherification reactions of aryl diazoacetates with N-heterocycles and a stoichiometric amount of dioxane/tetrahydropyran in aqueous medium: synthesis of 1,4-dioxepane/1,4,7-dioxazonan-6-one systems[J]. Green Chemistry, 2021, 23(21): 8533-8544.
[1] 关芳兰, 王建明, 陈嘉滢, 李淑敏. 二醋酯纤维织物分散染料免蒸洗数码印花工艺[J]. 纺织学报, 2024, 45(12): 137-143.
[2] 关玉, 张恒玮, 付政, 付少海. 纳米分散染料胶囊喷墨印花墨水的制备及其性能[J]. 纺织学报, 2024, 45(11): 136-144.
[3] 赵向阳, 闫凯, 龙家杰. 超临界二氧化碳流体中SCFX-AYRL染料的溶解性研究[J]. 纺织学报, 2024, 45(06): 98-104.
[4] 范博, 吴伟, 王健, 徐红, 毛志平. 分散染料在超临界CO2流体染色聚酯纤维中的扩散行为[J]. 纺织学报, 2024, 45(02): 134-141.
[5] 葛怀富, 吴伟, 王健, 徐红, 毛志平. 5-(二甲氨基)-2-甲基-5-氧戊酸甲酯在超临界二氧化碳流体染色中的应用[J]. 纺织学报, 2024, 45(01): 120-127.
[6] 连丹丹, 王镭, 杨雅茹, 尹立新, 葛超, 卢建军. 服用聚苯硫醚纤维的制备及其性能[J]. 纺织学报, 2023, 44(08): 1-8.
[7] 唐奇, 柴丽琴, 徐天伟, 王成龙, 王直成, 郑今欢. 聚乳酸/聚3-羟基丁酸-戊酸酯共混纤维及其雪尼尔纱的染色动力学[J]. 纺织学报, 2023, 44(06): 129-136.
[8] 关振虹, 李丹, 宋金苓, 冷向阳, 宋西全. 易染间位芳纶的制备及其性能[J]. 纺织学报, 2023, 44(06): 28-32.
[9] 吴伟, 纪柏林, 毛志平. 活性及分散染料染色新技术[J]. 纺织学报, 2023, 44(05): 1-12.
[10] 艾丽, 朱亚伟. 液体分散染料研发技术现状及其应用前景[J]. 纺织学报, 2023, 44(05): 220-227.
[11] 易菁源, 裴刘军, 朱赫, 张红娟, 王际平. 非水介质染色体系中分散染料对涤纶/棉混纺织物的沾色研究[J]. 纺织学报, 2023, 44(05): 29-37.
[12] 王小艳, 马子婷, 许长海. 基于高耐碱高耐氧漂分散染料的涤盖棉织物漂染一浴加工工艺[J]. 纺织学报, 2023, 44(05): 38-45.
[13] 宋洁, 蔡涛, 郑福尔, 郑环达, 郑来久. 涤纶针织鞋材超临界CO2无水染色性能[J]. 纺织学报, 2023, 44(05): 46-53.
[14] 钱红飞, KOBIR MD. Foysal, 陈龙, 李林祥, 方帅军. 聚乳酸/聚(3-羟基丁酸酯-co-3-羟基戊酸酯)共混纤维的结构及其织物染色性能[J]. 纺织学报, 2023, 44(03): 104-110.
[15] 王金坤, 刘秀明, 房宽峻, 乔曦冉, 张帅, 刘冬冬. 双乙烯砜基团活性染料染色对棉织物防皱性能的提升[J]. 纺织学报, 2023, 44(02): 207-213.
Viewed
Full text


Abstract

Cited

  Shared   
  Discussed   
No Suggested Reading articles found!