纺织学报 ›› 2025, Vol. 46 ›› Issue (10): 1-10.doi: 10.13475/j.fzxb.20241202201

• 纤维材料 •    下一篇

面向熔体直纺的聚酰胺6降膜脱挥增黏反应过程模拟

陈世昌1,2(), 娄顺月1,2, 陈文兴1   

  1. 1.浙江理工大学 纺织纤维材料与加工技术国家地方联合实验室, 浙江 杭州 310018
    2.浙江省现代纺织技术创新中心, 浙江 绍兴 312000
  • 收稿日期:2024-12-10 修回日期:2025-04-19 出版日期:2025-10-15 发布日期:2025-10-15
  • 作者简介:陈世昌(1988—),男,副教授,博士。研究方向为化纤绿色制造与应用技术。E-mail:scchen@zstu.edu.cn
  • 基金资助:
    国家自然科学基金项目(52173047);国家自然科学基金项目(51803187);“纺织之光”中国纺织工业联合会应用基础研究项目(J202401)

Simulation of devolatilization and viscosity increase reaction of polyamide 6 falling film for direct melt spinning

CHEN Shichang1,2(), LOU Shunyue1,2, CHEN Wenxing1   

  1. 1. National Engineering Laboratory for Textile Fiber Materials Processing Technology, Zhejiang Sci-Tech University, Hangzhou, Zhejiang 310018, China
    2. Zhejiang Provincial Innovation Center of Advanced Textile Technology, Shaoxing, Zhejiang 312000, China
  • Received:2024-12-10 Revised:2025-04-19 Published:2025-10-15 Online:2025-10-15

摘要: 针对聚酰胺6(PA6)生产中切片纺丝生产流程长、能耗高的现状,提出采用降膜脱挥反应方法直接制备可满足熔体直接纺丝加工的高品质聚酰胺6熔体的新工艺路线。利用流程模拟方法对降膜脱挥反应过程进行研究,在验证PA6二段水解聚合模拟结果基础上,结合降膜脱挥反应模型,考察了降膜脱挥反应器入口PA6相对黏度和工艺条件等对出口产物品质的影响规律。结果表明:在260 ℃、200 Pa的条件下,以相对黏度为2.35的PA6熔体进入降膜脱挥反应器时,出料熔体可增黏到3.1,单体和低聚物质量分数分别降低至0.23%和0.115%;增大进料熔体相对黏度、提高脱挥反应温度或降低真空压力值,可显著提升脱挥反应速率并降低端基浓度、小分子含量。模拟结果可为开发PA6熔体直纺新技术提供有益借鉴。

关键词: 聚酰胺6, 相对黏度, 降膜反应器, 脱挥, 过程模拟, 熔体直纺

Abstract:

Objective In view of the current situation of long chip spinning production process and high energy consumption in the production of polyamide 6(PA6), a process simulation analysis was conducted on the preparation of low-volatile polyamide 6 melt. By adding a falling film devolatilization reactor with vacuum facility after two-stage polymerization, multiple systems such as cooling granulation, hot water extraction, drying, solid phase adhesion and extrusion melting could be eliminated to realize the direct spinning of polyamide 6 fiber.

Method The outlet data of polyamide 6 two-stage VK tube established in Polymer Plus is taken as the inlet parameter of the falling film devolatilization reactor. The mathematical model established according to reaction kinetics, mass transfer and material balance is essentially a set of partial differential equations. MatLab is used to calculate the devolatilization and viscosity increase process of the falling film devolatilization reactor. When the reactor operation reaches a steady state, the concentration of each component in the reactor no longer changes with the change of time, and the concentration of the main component at the liquid phase outlet of the devolatilizing reactor and related technical indicators are obtained.

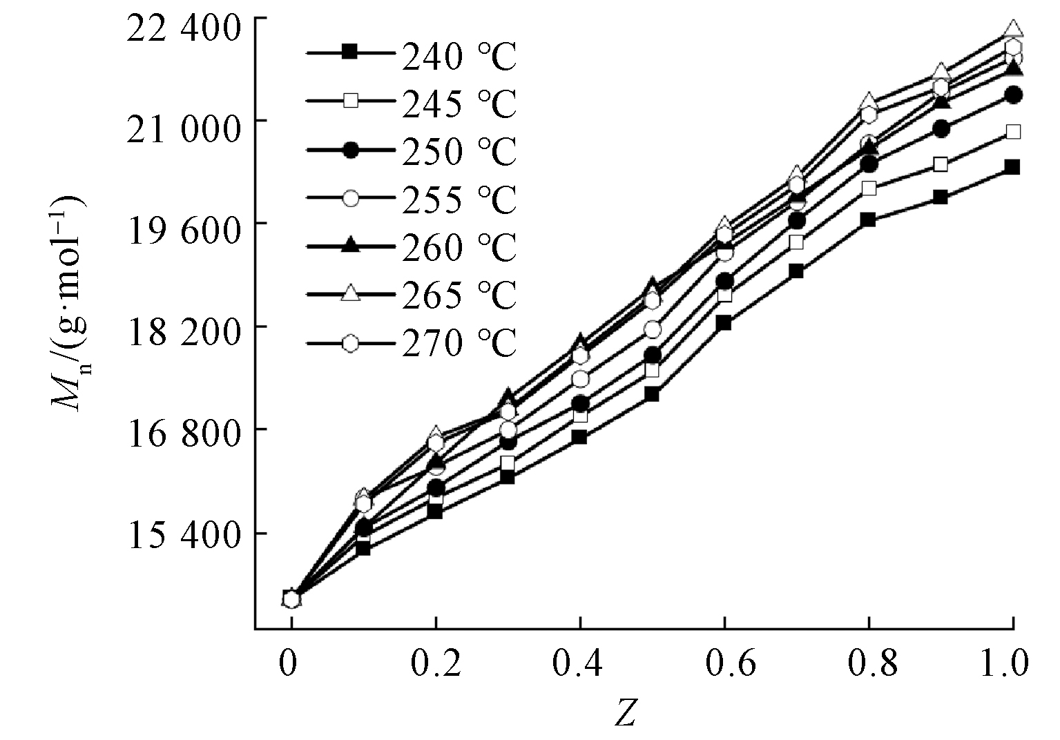
Results The model investigated the effects of different melt feed parameters, reaction temperature, pressure and other factors on the number average molecular weight (Mn), extractable content and end group concentration during the viscosity increasing process of falling film reactor. The results showed that high temperature and low pressure improved the performance of the product, but too low pressure caused costs increase for industrial production, making it more difficult to control. The by-products in high-temperature products tended to increase, which is not conducive to subsequent spinning. The results suggested that when the relative viscosity (ηr) of inlet melt was increased, the ηr of polymer increased slowly with the increase of reactor length, and the contents of monomer caprolactam (mCPL) and oligomer (CO) decreased gradually. When the reaction temperature of the falling film reactor was increased, the Mn of polyamide 6 melt gradually increased, while mCPL and CO gradually decreased. When the pressure of the reactor was reduced, the Mn gradually increased, and the mCPL and CO gradually decreased. Therefore, the process parameters of 260 ℃ and 200 Pa were selected to obtain a high viscosity polymer with a Mn of 21 709 g/mol, monomer content (mCPL) of 0.230%, and oligomer content (CO) of 0.115%.

Conclusion When the ηr of inlet material increases, the ηr of melt decreases with the increase of falling film flow distance, and the mCPL and CO decrease gradually. After the melt with a ηr of 2.35 passes through the falling film devolatilization reactor, its ηr can be increased to 3.1. The effects of reaction temperature, pressure and other conditions on polymer number, Mn, ηr, mCPL, CO and end group concentration in falling film devolatilization reactor were studied. With the increase of reaction temperature, the Mn of polymers in a certain range increased linearly, the mCPL decreased from 7.062% to 0.230%, the CO decreased from 0.710% to 0.115%, and the end group concentration([NH2] and [COOH]) also decreased gradually. By controlling the pressure of the falling film devolatilization reactor, it is shown that the relative viscosity of the polymer is improved at low pressure. Reduce the mCPL and CO in melt. By adjusting and controlling the inlet melt parameters of the falling film devolatilization reactor, high quality PA6 melt can be obtained under suitable devolatilization reaction temperature and vacuum degree. The research results are conducive to the development of direct spinning technology of PA6 melt.

Key words: polyamide 6, relative viscosity, falling film reactor, devolatilization, process simulation, direct melt spinning

中图分类号: 

  • TQ342.1

图1

聚酰胺6纤维生产工艺流程"

表1

聚酰胺6二段式聚合模拟结果"

参数 目标值 模拟值
数均分子量Mn 12 000~15 000 g/mol 14 538 g/mol
相对黏度ηr 2.100~2.400 2.350
端胺基初始浓度[NH2] 45.634 mmol/kg
端羧基初始浓度[COOH] 62.228 mmol/kg
水初始浓度[H2O] 60.088 mmol/kg
己内酰胺质量分数mCPL 7.000%~9.000% 7.060%
低聚物O质量分数CO 0.080%~2.000% 0.710%

图2

降膜反应物料平推流模型"

表2

聚酰胺6脱挥反应机制"

反应编号 反应方程式
S1 $\mathrm{P}_{1}+\mathrm{P}_{1} \underset{k_{1} / K_{1}}{\stackrel{k_{1}}{\rightleftharpoons}} \mathrm{COOH}-\mathrm{NH}_{2}+\mathrm{H}_{2} \mathrm{O}$
S2 $\mathrm{NH}_{2}+\mathrm{COOH} \underset{k_{1} / K_{1}}{\stackrel{k_{1}}{\rightleftharpoons}} \mathrm{~B} \_\mathrm{ACA}-\mathrm{B} \_\mathrm{ACA}+\mathrm{H}_{2} \mathrm{O}$
S3 $\mathrm{P}_{1}+\mathrm{COOH} \underset{k_{1} / K_{1}}{\stackrel{k_{1}}{\rightleftharpoons}} \mathrm{COOH}-\mathrm{B} \_\mathrm{ACA}+\mathrm{H}_{2} \mathrm{O}$
S4 $\mathrm{P}_{1}+\mathrm{NH}_{2} \underset{\overline{k_{1} / K_{1}}}{\stackrel{k_{1}}{\rightleftharpoons}} \mathrm{NH}_{2}-\mathrm{B} \_\mathrm{ACA}+\mathrm{H}_{2} \mathrm{O}$
S5 $\mathrm{CPL}+\mathrm{H}_{2} \mathrm{O} \underset{k_{2} / K_{2}}{\stackrel{k_{2}}{\rightleftharpoons}} \mathrm{P}_{1}$
S6 $\mathrm{P}_{1}+\mathrm{CPL} \underset{k_{3} / K_{3}}{\stackrel{k_{3}}{\rightleftharpoons}} \mathrm{NH}_{2}-\mathrm{COOH}$
S7 $\mathrm{NH}_{2}+\mathrm{CPL} \underset{k_{3} / K_{3}}{\stackrel{k_{3}}{\rightleftharpoons}} \mathrm{NH}_{2}-\mathrm{B} \_\mathrm{ACA}$
S8 $\mathrm{O}+\mathrm{H}_{2} \mathrm{O} \underset{\overline{k_{4} / K_{4}}}{\stackrel{k_{4}}{\rightleftharpoons}} \mathrm{COOH}-\mathrm{NH}_{2}$
S9 $\mathrm{O}+\mathrm{P}_{1} \underset{k_{5} / K_{5}}{\stackrel{k_{5}}{\rightleftharpoons}} \mathrm{COOH}-\mathrm{B} \_\mathrm{ACA}-\mathrm{NH}_{2}$
S10 $\mathrm{O}+\mathrm{NH}_{2} \underset{k_{5} / K_{5}}{\stackrel{k_{5}}{\rightleftharpoons}} \mathrm{~B} \_\mathrm{ACA}-\mathrm{B} \_\mathrm{ACA}-\mathrm{NH}_{2}$

图3

降膜脱挥反应器管外组分分布"

图4

不同初始相对黏度进料下熔体指标沿反应器轴向的变化"

图5

不同温度下数均分子量沿反应器轴向的变化"

图6

不同温度下组分浓度沿反应器轴向的变化"

图7

不同压力下数均分子量沿反应器轴向方向的变化"

图8

不同压力下组分含量沿反应器轴向的变化"

[1] 李睿, 王梦柯, 于春晓, 等. 原位聚合法聚酰胺6/炭黑复合纤维的制备及其性能[J]. 纺织学报, 2023, 44(10): 1-8.
doi: 10.13475/j.fzxb.20220505601
LI Rui, WANG Mengke, YU Chunxiao, et al. Fabrication and properties of polyamide 6/carbon black composite fibers via in situ polymerization[J]. Journal of Textile Research, 2023, 44(10): 1-8.
doi: 10.13475/j.fzxb.20220505601
[2] ČOLOVIĆ M, VASILJEVIĆ J, ŠTIRN Ž, et al. New sustainable flame retardant DOPO-NH-functionalized polyamide 6 and filament yarn[J]. Chemical Engineering Journal, 2021, 426: 130760.
doi: 10.1016/j.cej.2021.130760
[3] WANG L, GUO Z X, YU J. Effect of glass fibers with different surface properties on the morphology and properties of polyamide 6/poly(butylene terephthalate) blends[J]. Industrial & Engineering Chemistry Research, 2014, 53(1): 206-213.
doi: 10.1021/ie4026133
[4] 范学松, 张圣明, 王朝生, 等. 己内酰胺聚合中低聚物控制及PA6熔体直纺可行性研究[J]. 合成纤维工业, 2020, 43(5): 1-6.
FAN Xuesong, ZHANG Shengming, WANG Chaosheng, et al. Study on oligomer control during caprolactam hydrolytic polymerization and feasibility of PA6 melt direct spinning[J]. Synthetic Fiber Industry, 2020, 43(5): 1-6.
[5] FANG H, SU S, LUO Y, et al. Unveiling the mechanisms of hydrolytic ring-opening polymerization of caprolactam and amino-assisted ring opening of cyclic dimers: a DFT study[J]. Industrial & Engineering Chemistry Research, 2023, 62(1): 136-144.
doi: 10.1021/acs.iecr.2c03328
[6] ZHANG S, MENG C, WU Y, et al. Efficient production of copolymerized PA6-based polymer fibers: oligomer control and direct melt spinning[J]. Polymer, 2024, 296: 126762.
doi: 10.1016/j.polymer.2024.126762
[7] 陈文兴, 马建平, 王建辉, 等. 涤纶工业丝熔体直纺生产技术的研发[J]. 合成纤维工业, 2013, 36(4): 1-4.
CHEN Wenxing, MA Jianping, WANG Jianhui, et al. Development of melt direct spinning process technology for polyester industrial yarn[J]. Synthetic Fiber Industry, 2013, 36(4): 1-4.
[8] YUAN W, MA J, CHEN S. Surface renewal and residence time distribution of highly viscous liquid falling film flow[J]. Theoretical Foundations of Chemical Engineering, 2023, 57(6): 1414-1423.
doi: 10.1134/S0040579523060209
[9] CHEN S, CHEN S, GUANG S, et al. Film reaction kinetics for melt post polycondensation of poly(ethylene terephthalate)[J]. Journal of Applied Polymer Science, 2020, 137(34): 48988.
doi: 10.1002/app.v137.34
[10] 陈世昌, 曹峻华, 陈文兴. 聚酯降膜增黏反应过程模拟[J]. 纺织学报, 2025, 46(1): 16-24.
CHEN Shichang, CAO Junhua, CHEN Wenxing. Process simulation of falling film liquid-state polycondensation of polyester[J]. Journal of Textile Research, 2025, 46(1): 16-24.
[11] 赵玲, 邢玉林, 秦春曦, 等. 尼龙6连续聚合过程的流程模拟和调控[J]. 化学反应工程与工艺, 2014, 30(6): 481-490.
ZHAO Ling, XING Yulin, QIN Chunxi, et al. Simulation and control of nylon-6 continuous polymerization process[J]. Chemical Reaction Engineering and Technology, 2014, 30(6): 481-490.
[12] SEAVEY K C, KHARE N P, LIU Y A, et al. A new phase-equilibrium model for simulating industrial nylon-6 production trains[J]. Industrial & Engineering Chemistry Research, 2003, 42(17): 3900-3913.
doi: 10.1021/ie030112+
[13] GUPTA S K, KUMAR A, AGRAWAL K K. Simulation of three-stage nylon 6 reactors with intermediate mass transfer at finite rates[J]. Journal of Applied Polymer Science, 1982, 27(8): 3089-3101.
doi: 10.1002/app.07.v27:8
[14] CHEN S, ZHANG L, WANG Y, et al. Residence time distribution of high viscosity fluids falling film flow down outside of industrial-scale vertical wavy wall: experimental investigation and CFD prediction[J]. Chinese Journal of Chemical Engineering, 2019, 27(7): 1586-1594.
doi: 10.1016/j.cjche.2018.12.022
[15] 商利容, 王健红. PET聚合反应器建模及在聚合流程动态模拟中的应用[J]. 计算机仿真, 2003, 20(2): 99-102.
SHANG Lirong, WANG Jianhong. Modeling of poly(ethylene terephthalate) reactor and its application in the dynamic simulation of polymerization process[J]. Computer Simulation, 2003, 20(2): 99-102.
[16] SEAVEY K C, LIU Y A, LUCAS B, et al. New mass transfer model for simulating industrial nylon-6 production trains[J]. Industrial & Engineering Chemistry Research, 2004, 43(17): 5063-5076.
doi: 10.1021/ie040067l
[17] XIAO W, HUANG N, TANG Z, et al. Simulation of nylon 6 polymerization in an industrial two-step VK tubular reactor[J]. Macromolecular Materials and Engineering, 2003, 288(3): 235-244.
doi: 10.1002/mame.v288:3
[18] NAGASUBRAMANIAN K, REIMSCHUESSEL H K. Diffusion of water and caprolactam in nylon 6 melts[J]. Journal of Applied Polymer Science, 1973, 17(6): 1663-1677.
doi: 10.1002/app.07.v17:6
[19] NASR A, SVOBODA P. Influence of fusion temperature on nonisothermal crystallization kinetics of polyamide 6[J]. Polymers, 2023, 15(8): 1952.
doi: 10.3390/polym15081952
[20] ZHANG S, WU Y, JI P, et al. Sustainable production of polyamide 6 fibers: direct melt spinning and efficient reuse of residual oligomers during polymerization[J]. ACS Sustainable Chemistry & Engineering, 2023, 11(9): 3789-3800.
[21] CHEN S, ZHONG S, CHEN W. Kinetics comparison of solid-state polycondensation and melt post polycondensation for polyamide 6 with controllable extractive content[J]. Industrial & Engineering Chemistry Research, 2024, 63(22): 9740-9750.
doi: 10.1021/acs.iecr.4c00744
[22] ZHONG S, GUO Y, GAO F, et al. Studies of caprolactam and cyclic oligomer content, molecular weight, and thermal properties during melt post-polycondensation of polycaprolactam in the film state[J]. Polymer, 2023, 27: 125802.
[1] 李雨洁, 王承勤, 王伟, 袁如超, 俞建勇, 李发学. 聚酰胺6基弹性体及其并列弹性纤维的制备及其性能[J]. 纺织学报, 2025, 46(09): 46-56.
[2] 廖梦蝶, 肖汪洋, 李鸿鑫, 赵漫, 张须臻, 王秀华. 聚酰胺6/共聚酰胺偏心皮芯复合纤维的制备与性能[J]. 纺织学报, 2025, 46(07): 53-61.
[3] 闫静, 王亚倩, 刘晶晶, 李好义, 杨卫民, 康卫民, 庄旭品, 程博闻. 熔融静电纺长丝纱的制备及其在摩擦纳米发电机中的应用[J]. 纺织学报, 2025, 46(05): 23-29.
[4] 陈世昌, 曹峻华, 陈文兴. 聚酯降膜增黏反应过程模拟[J]. 纺织学报, 2025, 46(01): 16-24.
[5] 邓钢, 张涛, 吴超平, 王军, 张磊. 异形二醋酯纤维干法纺丝成形过程模拟及其截面分析[J]. 纺织学报, 2024, 45(09): 42-49.
[6] 郑晓頔, 盛平厚, 蒋佳岑, 李睿, 焦红娟, 邱志成. 铜改性抗菌防螨聚酰胺6纤维的制备及其性能[J]. 纺织学报, 2024, 45(03): 19-27.
[7] 陈江萍, 郭朝阳, 张琪骏, 吴仁香, 钟鹭斌, 郑煜铭. 静电纺聚酰胺6/聚苯乙烯复合纳米纤维膜制备及其空气过滤性能[J]. 纺织学报, 2024, 45(01): 56-64.
[8] 李修田, 宋伟广, 张丽平, 杜长森, 付少海. 聚酰胺原液着色母粒的制备及其性能[J]. 纺织学报, 2023, 44(11): 45-51.
[9] 范梦晶, 吴玲娅, 周歆如, 洪剑寒, 韩潇, 王建. 镀银聚酰胺6/聚酰胺6纳米纤维包芯纱电容传感器的构筑[J]. 纺织学报, 2023, 44(11): 67-73.
[10] 李睿, 王梦柯, 于春晓, 郑晓頔, 邱志成, 李志勇, 武术方. 原位聚合法聚酰胺6/炭黑复合纤维的制备及其性能[J]. 纺织学报, 2023, 44(10): 1-8.
[11] 安雪, 刘太奇, 李言, 赵小龙. 牢固结合的多层纳米纤维复合材料的制备及其过滤性能[J]. 纺织学报, 2023, 44(08): 50-56.
[12] 周歆如, 范梦晶, 胡铖烨, 洪剑寒, 刘永坤, 韩潇, 赵晓曼. 喷丝速率对连续水浴静电纺纳米纤维包芯纱结构与性能的影响[J]. 纺织学报, 2023, 44(06): 50-56.
[13] 杨汉彬, 张圣明, 吴宇豪, 王朝生, 王华平, 吉鹏, 杨建平, 张体健. 聚酰胺6基弹性纤维的制备及其结构与性能[J]. 纺织学报, 2023, 44(03): 1-10.
[14] 陈琛, 韩燚, 孙海燕, 姚诚凯, 高超. 花状氧化石墨烯原位展开共聚聚酰胺6及其功能纤维[J]. 纺织学报, 2023, 44(01): 47-55.
[15] 胡铖烨, 周歆如, 范梦晶, 洪剑寒, 刘永坤, 韩潇, 赵晓曼. 皮芯结构微纳米纤维复合纱线的制备及其性能[J]. 纺织学报, 2022, 43(09): 95-100.
Viewed
Full text


Abstract

Cited

  Shared   
  Discussed   
No Suggested Reading articles found!