Journal of Textile Research ›› 2021, Vol. 42 ›› Issue (04): 8-15.doi: 10.13475/j.fzxb.20200806808

• Invited Column: Bio-based Polyester and Polyamide Fiber • Previous Articles     Next Articles

One-step foam finishing of flame retardancy and three-proof finishing for bio-based polytrimethylene terephthalate fabrics

LI Yonghe, QU Lingxi, XU Bi, CAI Zaisheng, GE Fengyan()   

  1. Key Laboratory of Science and Technology of Eco-Textile, Ministry of Education, Donghua University, Shanghai 201620, China
  • Received:2020-08-17 Revised:2021-01-15 Online:2021-04-15 Published:2021-04-20
  • Contact: GE Fengyan E-mail:dhufyge@163.com

Abstract:

In order to improve the functionality of bio-based polytrimethylene terephthalate (PTT) fabrics and meet the needs of energy saving and emission reduction for ecological dyeing and finishing, foam finishing technology are used to treat bio-based PTT fabrics for flame-retardancy and three-proof one-step finishing. Using the responsive surface experimental design and optimization method, the effects of the concentration of the flame retardant and the three-proof finishing agent, liquid carrying rate and the baking temperature on the finishing effect were analyzed. The optimal finishing process was as follows: the concentration of flame retardant and three-proof finishing agent are 390 and 43 g/L respectively, the liquid carrying rate is 42%, and baking is performed at 141 ℃ for 1 min. The research results show that the PTT fabrics finished under the optimal technological conditions have excellent flame retardant properties and good three-proof effects. The flame retardant grade reaches the national B1 standard, and the contact angles of the water phase and the oil phase reach 145.6° and 129.2°, respectively. In addition, after 20 washings and 50 rubs, the fabric still maintains good flame retardant and three-proof effects. The experimentally researched foam multifunctional finishing method provides an effective way to improve the green and clean production of bio-based fiber materials.

Key words: bio-based polytrimethylene terephthalate fabric, flame retardant finishing, three-proof finishing, foam finishing, functional textile

CLC Number: 

  • TS156

Fig.1

Process flow chart of bio-based PTT fabric one-step foam finishing of flame retardant and three-proofing finishing"

Fig.2

Effect of flame retardant agent mass concentration on properties of foam performance"

Fig.3

Effect of flame retardant agent mass concentration on finishing effect"

Fig.4

Effect of mass concentration of three-proof finishing agent on foam performance"

Fig.5

Effect of mass concentration of three-proof finishing agent on finishing effect"

Fig.6

Effect of liquid carrying rate on finishing effect"

Fig.7

Effect of baking temperature on finishing effect"

Tab.1

Response surface factor and level table of flame retardant and three-proof one-step foam finishing"

水平 A
阻燃剂质量
浓度/(g·L-1)
B
三防整理剂质量
浓度/(g·L-1)
C
带液率/
%
D
焙烘
温度/℃
-1 350 35 30 135
0 400 40 40 140
1 450 45 50 145

Tab.2

Response surface optimization results of flame retardant and three-proof one-step foam finishing"

实验号 A B C D LOI值/% 水相接触角/(°)
1 450 45 40 140 27.4 135.6
2 350 35 40 140 27.1 134.1
3 450 40 40 145 27.7 136.1
4 400 40 50 145 27.9 138.1
5 350 40 30 140 27.4 135.6
6 350 40 40 135 27.2 139.7
7 400 35 40 135 28.2 134.6
8 400 45 30 140 27.8 137.1
9 350 40 40 145 27.3 138.1
10 450 40 30 140 27.7 137.6
11 450 40 40 135 28.1 136.0
12 400 40 40 140 28.3 140.1
13 400 40 30 135 28.3 140.1
14 400 35 30 140 27.4 135.4
15 400 35 50 140 27.9 132.8
16 400 40 30 145 27.8 137.6
17 400 40 40 140 28.2 139.6
18 400 40 50 135 27.8 137.6
19 450 40 50 140 27.7 131.2
20 400 45 50 140 26.5 136.9
21 400 40 40 140 28.4 140.8
22 450 35 40 140 27.4 130.7
23 350 45 40 140 26.4 135.5
24 400 45 40 145 27.5 137.1
25 400 40 40 140 28.3 140.1
26 400 45 40 135 27.5 139.1
27 400 35 40 145 27.9 135.1
28 350 40 50 140 26.8 138.1
29 400 40 40 140 28.3 140.1

Fig.8

Response results of two of four factors to LOI value of fabric.(a) Factor A and B; (b) Factor A and C; (c) Factor A and D; (d)Factor B and C; (e) Factor B and D; (f) Factor C and D"

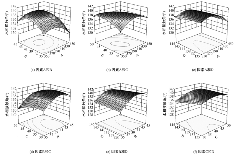
Fig.9

Response results of two of four factors to water contact antenna of fabric. (a) Factor A and B; (b) Factor A and C; (c) Factor A and D; (d)Factor B and C; (e) Factor B and D; (f) Factor C and D"

Tab.3

Comparison of finishing effects of two fabrics"

试样 损毁长度/
cm
LOI值/
%
水相接触角/
(°)
油相接触角/
(°)
1# 2# 1# 2# 1# 2# 1# 2#
整理试样 10.5 10.8 28.5 28.4 145.6 142.6 129.2 124.8
水洗20次 11.9 12.1 27.9 27.5 142.7 141.9 125.8 123.6
摩擦50次 11.1 11.7 27.5 27.6 144.5 142.0 128.0 123.4

Tab.4

Comparison of finishing evenness between two fabrics"

织物编号 水相接触角均方差/(°) 油相接触角均方差/(°)
1# 3.58 4.53
2# 4.02 4.62
[1] 李现顺, 甘胜华, 汪少朋. 一种新型聚酯材料:PTT的合成及应用[J]. 聚酯工业, 2014,27(2):7-12.
LI Xianshun, GAN Shenghua, WANG Shaopeng. A new polyester material: synjournal and applications of PTT[J]. Polyester Industry, 2014,27(2):7-12.
[2] 马艳丽, 王秀华, 万继宪. 阻燃PTT共聚酯的制备及性能研究[J]. 合成纤维, 2010,39(10):20-23.
MA Yanli, WANG Xiuhua, WAN Jixian. Studies on preparation and properties of flame-retardant poly (triethylene terephthalate) copolymer[J]. Synthetic Fiber in China, 2010,39(10):20-23.
[3] KURIAN J V. A new polymer platform for the future-sorona from corn derived 1,3-propanediol[J]. Journal of Polymers and the Environment, 2005,13(2):159-167.
[4] LIU Hongjuan, XU Yunzhen, ZHENG Zongming, et al. 1,3-propanediol and its copolymers: research, development and industrialization[J]. Biotechnol Journal, 2010,5(11):1137-1148.
[5] 董奎勇, 杨婷婷, 王学利, 等. 生物基聚酯与聚酰胺纤维的研发进展[J]. 纺织学报, 2020,41(1):174-183.
DONG Kuiyong, YANG Tingting, WANG Xueli, et al. Research and development progress of bio-based polyester and polyamide fibers[J]. Journal of Textile Research, 2020,41(1):174-183.
[6] 王学利, 彭治汉, 江建明, 等. 环状膦酸酯阻燃PTT纤维及其性能研究[J]. 合成纤维工业, 2007,30(1):25-27.
WANG Xueli, PENG Zhihan, JIANG Jianming, et al. Study on cyclic phosphonic acid flame retardant PTT fiber and its properties[J]. China Synthetic Fiber Industry, 2007,30(1):25-27.
[7] 雷开强. 镍/聚苯胺/PTT电磁屏蔽织物的制备及其性能[D]. 上海: 东华大学, 2015: 1-5.
LEI Kaiqiang. Preparation and properties of Ni/PANI/PTT electromagnetic shielding fabric[D]. Shanghai: Donghua University, 2015: 1-5.
[8] 沈金科. 抗菌PTT纤维的制备及性能研究[D]. 杭州:浙江理工大学, 2014: 51-53.
SHEN Jinke. Preparation and properties studies of antibacterial poly (trimethylene terephthalate) filament[D]. Hangzhou: Zhejiang Sci-Tech University, 2014: 51-53.
[9] GE Fangqing, ZHANG Jinju, LIU Jingyan, et al. A novel crease-resistant and hydrophobic dual-function foam coating for silk fabric by the one-step method[J]. Textile Research Journal, 2020,90(13/14):1495-1506.
[10] 李珂, 张健飞, 巩继贤, 等. 涤棉织物泡沫拒水拒油整理[J]. 纺织学报, 2014,35(4):94-99.
LI Ke, ZHANG Jianfei, GONG Jixian, et al. Water and oil repellent finishing of polyester cotton by foam technology[J]. Journal of Textile Research, 2014,35(4):94-99.
[11] 陈龙富, 罗立善, 罗竹青, 等. 基于响应面实验设计的电泳工艺研究[J]. 湖南工业大学学报, 2019,33(4):59-65.
CHEN Longfu, LUO Lishan, LUO Zhuqing, et al. Study on electrophoresis technology based on response surface analysis design[J]. Journal of Hunan University of Technology, 2019,33(4):59-65.
[12] 赵宝宝, 钱晓明, 钱幺, 等. 水性聚氨酯机械发泡涂层的响应面法优化制备[J]. 纺织学报, 2018,39(7):95-99.
ZHAO Baobao, QIAN Xiaoming, QIAN Yao, et al. Preparation of waterborne polyurethane coating by mechanical foaming based on response surface methodology[J]. Journal of Textile Research, 2018,39(7):95-99.
[13] 吴龙. 应用响应面优化法的文胸泡沫模杯模压厚度变化趋势研究[J]. 纺织学报, 2017,38(11):102-109.
WU Long. Thickness change trend under process parameters in foam cup molding using Box-Behnken design method[J]. Journal of Textile Research, 2017,38(11):102-109.
[14] 苗苗, 王晓旭, 王迎, 等. 氧化石墨烯接枝聚丙烯非织造布的制备及其抗静电性[J]. 纺织学报, 2019,40(11):125-130.
MIAO Miao, WANG Xiaoxu, WANG Ying, et al. Preparation and antistatic property of graphene oxide grafted polypropylene nonwoven fabric[J]. Journal of Textile Research, 2019,40(11):125-130.
[15] 谭富耀, 盛赵越, 胡婷, 等. 超声波辅助提取麻城福白菊总黄酮工艺优化及其抗氧化活性分析[J]. 食品工业科技, 2020,41(14):154-159.
TAN Fuyao, SHENG Zhaoyue, HU Ting, et al. Ultrasonic-assisted extraction optimization of total flavonoids from macheng chrysanthemum morifolium and its antioxidant activity[J]. Science and Technology of Food Industry, 2020,41(14):154-159.
[16] 姚众, 张贵云, 张丽萍, 等. 响应面法优化超临界二氧化碳萃取苦参碱工艺技术[J]. 山西农业科学, 2020,48(7):1135-1139.
YAO Zhong, ZHANG Guiyun, ZHANG Liping, et al. Optimization of extraction process for matrine with supercritical carbon dioxide by response surface methodology[J]. Journal of Shanxi Agricultural Sciences, 2020,48(7):1135-1139.
[1] ZHANG Chentian, ZHAO Lianying, GU Xuefeng. Wearability of hollow coffee carbon polyester/cotton blended weft plain knitted fabric [J]. Journal of Textile Research, 2021, 42(03): 102-109.
[2] ZHOU Yingyu, WANG Rui, JIN Gaoling, WANG Wenqing. Research progress of applications of photo-induced surface modification technique in flame retardant fabrics [J]. Journal of Textile Research, 2021, 42(03): 181-189.
[3] DING Zihan, QIU Hua. Preparation and performance of nano-silica modified water-based polyurethane waterproof and moisture-permeable coated fabrics [J]. Journal of Textile Research, 2021, 42(03): 130-135.
[4] MENG Lingling, WEI Qufu, YAN Zhongjie, ZHONG Zhenzhen, WANG Xiaohui, SHEN Jiayu, CHEN Hongwei. Preparation and properties of Ag/ZnO composite film deposited polyester fabrics by magnetron sputtering [J]. Journal of Textile Research, 2021, 42(03): 143-148.
[5] YANG Yuchen, QIN Xiaohong, YU Jianyong. Research progress of transforming electrospun nanofibers into functional yarns [J]. Journal of Textile Research, 2021, 42(01): 1-9.
[6] YANG Yaru, SHEN Xiaojun, TANG Bolin, NIU Mei. Halogen-free flame retardant finishing of ultra-high molecular weight polyethylene fiber [J]. Journal of Textile Research, 2020, 41(11): 109-115.
[7] ZHANG Yanyan, ZHAN Luyao, WANG Pei, GENG Junzhao, FU Feiya, LIU Xiangdong. Research progress in preparation of durable antibacterial cotton fabrics with inorganic nanoparticles [J]. Journal of Textile Research, 2020, 41(11): 174-180.
[8] CHEN Wendou, ZHANG Hui, CHEN Tianyu, WU Hailiang. Self-cleaning properties of titanium dioxide modified polyester/cotton blend fabrics [J]. Journal of Textile Research, 2020, 41(07): 122-128.
[9] ZHOU Qingqing, CHEN Jiayi, QI Zhenming, CHEN Weijian, SHAO Jianzhong. Preparation and characterization of flame retardant and antibacterial cotton fabric [J]. Journal of Textile Research, 2020, 41(05): 112-120.
[10] XU Ailing, WANG Chunmei. Ammonium modification of phytic acid and flame retardant finishing of Lyocell fabric [J]. Journal of Textile Research, 2020, 41(02): 83-88.
[11] CHANG Shuo, SHEN Jiajia. Research progress of graphene durable finishing of textiles [J]. Journal of Textile Research, 2020, 41(02): 179-186.
[12] XU Lin, REN Yu, ZHANG Hongyang, WU Shuangquan, LI Ya, DING Zhirong, JIANG Wenwen, XU Sijun, ZANG Chuanfeng. Construction and properties of superhydrophobic layer of titania/fluorosilane on polyester fabric surface [J]. Journal of Textile Research, 2019, 40(12): 86-92.
[13] WANG Fanghe, WANG Rui, WEI Lifei, WANG Zhaoying, ZHANG Anying, WANG Deyi. Preparation and properties of layer-by-layer self-assembled flame retardant modified polyester fabrics [J]. Journal of Textile Research, 2019, 40(11): 106-112.
[14] GUAN Jinping, KUANG Xiaohui, TANG Rencheng, CHEN Guoqiang. Functional finishing of dopamine modified silk fabric with ferric chloride [J]. Journal of Textile Research, 2019, 40(02): 130-134.
[15] . Application of TiO2-SnO2 composite sol for wool flame retardant finishing [J]. JOURNAL OF TEXTILE RESEARCH, 2017, 38(12): 95-100.
Viewed
Full text


Abstract

Cited

  Shared   
  Discussed   
No Suggested Reading articles found!