Journal of Textile Research ›› 2022, Vol. 43 ›› Issue (02): 149-155.doi: 10.13475/j.fzxb.20211102207

• Dyeing and Finshing & Chemicals • Previous Articles     Next Articles

Low angle-dependent structurally coloured films over full visible spectrum

LIN Tiantian, YANG Dan, GAO Weihong(), ZHANG Zhiyue, ZHAO Xiaoyan   

  1. School of Textiles and Fashion, Shanghai University of Engineering Science, Shanghai 201620, China
  • Received:2021-11-03 Revised:2021-12-01 Online:2022-02-15 Published:2022-03-15
  • Contact: GAO Weihong E-mail:gaoweihong@sues.edu.cn

Abstract:

In order to solve high pollution and energy consumption of traditional dyes, and prepare full visible spectral structural colours with no pollution, three batches of different sized (320, 240 and 200 nm) silica nanoparticles (SNPs) were synthesized by using a Stöber-based solvent varying method, the silica photonic crystal(PC) films were fabricated from the three sized bare SNPs with vivid red, green, and purple colours, respectively, and structurally coloured PC films over the full visible spectrum were fabricated by varying the mass ratio of two sized SNPs. The result showed that the structural colours of the PC films had a blue shift when the ratio of the smaller sized SNPs increased. The PC films consisting of non-uniform two sized SNPs showed low angle dependent structural colours, due to its amorphous PC structure. This method is simpler and faster than traditional self-assembly of PC materials that require a series of different sized microsphere bathes for each color, and is suitable for making stable colours as pigments and coatings on different substrates.

Key words: structural colour, photonic crystal, silica nanoparticle, full visible spectrum, low angle-dependence

CLC Number: 

  • TS190.2

Tab.1

Recipes for Sa, Sb and ScmL"

样品 EtOH NH3·H2O H2O TEOS
Sa 60 8 3 6
Sb 75 8 3 6
Sc 90 8 3 6

Fig.1

Fabrication procedure of full visible spectrum structurally coloured films"

Fig.2

Particle size distribution"

Fig.3

Spectral reflections(a) of films composed of Sa, Sb, Sc and photos(b) of PC films"

Fig.4

Optical photos (a) and spectral reflections (b) of PC films and relationship between Sb content and reflection peak wavelength(c)"

Fig.5

Average particle diameter(a) and CIE 1931 chromaticity diagram(b) of films"

Fig.6

SEM images and corresponding FFT images of PC films"

Fig.7

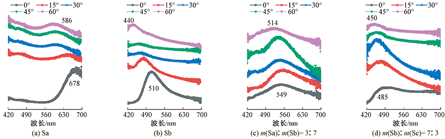
Spectral reflections of PC films observed at different viewing angles"

[1] LIU Y, HU J, WU Z H. Fabrication of coatings with structural color on a wood surface[J]. Coatings, 2020, 10(1): 32.
doi: 10.3390/coatings10010032
[2] FANG Y C, LIU X H, ZHENG H L, et al. Eco-friendly colorization of textile originating from polydopamine nanofilm structural color with high colorfastness[J]. Journal of Cleaner Production, 2021, 295(1): 126523.
doi: 10.1016/j.jclepro.2021.126523
[3] ZHOU C T, QI Y, ZHANG S F, et al. Rapid fabrication of vivid noniridescent structural colors on fabrics with robust structural stability by screen printing[J]. Dyes and Pigments, 2020, 176:108226.
doi: 10.1016/j.dyepig.2020.108226
[4] LI Y C, FAN Q S, WANG X H, et al. Shear-induced assembly of liquid colloidal crystals for large-scale structural coloration of textiles[J]. Advanced Functional Materials, 2021, 31(19): 2010746.
doi: 10.1002/adfm.v31.19
[5] CHAI L Q, ZHOU L, LIU G J, et al. Interface-gravity joint self-assembly behaviors of P(St-MAA) colloidal microspheres on polyester fabric substrates[J]. Journal of Materials Science, 2017, 52(9): 5060-5071.
doi: 10.1007/s10853-016-0743-5
[6] WANG F, ZHANG X, LIN Y, et al. Structural coloration pigments based on carbon modified ZnS@SiO2 nanospheres with low-angle dependence, high color saturation and enhanced stability[J]. ACS Applied Materials & Interfaces, 2016, 8(7): 5009-5016.
[7] ZHU X W, YAN B B, YAN X J, et al. Fabrication of non-iridescent structural color on silk surface by rapid polymerization of dopamine[J]. Progress in Organic Coatings, 2020, 149:105904.
doi: 10.1016/j.porgcoat.2020.105904
[8] KAWAMURA A, KOHRI M, MORIMOTO G, et al. Full-color biomimetic photonic materials with iridescent and non-iridescent structural colors[J]. Scientific Reports, 2016, 6:33984.
doi: 10.1038/srep33984
[9] LI K X, LI C, LI H Z, et al. Designable structural coloration by colloidal particle assembly: from nature to artificial manufacturing[J]. Science, 2021, 24(2): 102121.
[10] WEI W, DONG B, CAO L, et al. Fabrication of angle-independent anti-reflective structural color coating powders[J]. Materials Today Physics, 2021, 17:100361.
doi: 10.1016/j.mtphys.2021.100361
[11] SU X, XIA H B, ZHANG S F, et al. Vivid structural colors low angle-dependence from long-range ordered photonic crystal films with[J]. Nanoscale, 2017, 9(9): 3002-3009.
doi: 10.1039/C6NR07523A
[12] ZHANG Y F, DONG B Q, CHEN A, et al. Using cuttlefish ink as an additive to produce non-iridescent structural colors of high color visibility[J]. Advanced Materials, 2015, 27(32): 4719-4724.
doi: 10.1002/adma.v27.32
[13] GU H C, YE B F, DING H B, et al. Non-iridescent structural color pigments from liquid marbles[J]. Journal of Materials Chemistry C, 2015, 3(26): 6607-6612.
doi: 10.1039/C5TC00644A
[14] LI Q S, ZHANG Y F, SHI L, et al. Additive mixing and conformal coating of non-iridescent structural colors with robust mechanical properties fabricated by atomization deposition[J]. ACS Nano, 2018, 12(4): 3095-3102.
doi: 10.1021/acsnano.7b08259
[15] ZHOU L, WU Y J, LIU G J, et al. Fabrication of high-quality silica photonic crystals on polyester fabrics by gravitational sedimentation self-assembly[J]. Coloration Technology, 2016, 131(6): 413-423.
doi: 10.1111/cote.2015.131.issue-6
[16] GOERLITZER E S A, TAYLOR R N K, VOGEL N. Bioinspired photonic pigments from colloidal self-assembly[J]. Advanced Materials, 2018, 30(28): 1706654.
doi: 10.1002/adma.v30.28
[17] LEE C H, YU J L, WANG Y M, et al. Effect of graphene oxide inclusion on the optical reflection of a silica photonic crystal film[J]. RSC Advances, 2018, 8(30): 16593-16602.
doi: 10.1039/C8RA02235F
[18] AGUIRRE C I, REGUERA E, STEIN A. Colloidal photonic crystal pigments with low angle depen-dence[J]. Acs Applied Materials & Interfaces, 2010, 2(11): 3257-3262.
[19] LIU G J, ZHOU L, ZHANG G Q, et al. Fabrication of patterned photonic crystals with brilliant structural colors on fabric substrates using ink-jet printing technology[J]. Materials and Design, 2017, 114(15): 10-17.
doi: 10.1016/j.matdes.2016.09.102
[20] LEE H S, SHIM T S, HWANG H, et al. Colloidal photonic crystals toward structural color palettes for security materials[J]. Chemistry of Materials, 2013, 25(13): 2684-2690.
doi: 10.1021/cm4012603
[21] CONG H L, YU B, WANG S P, et al. Preparation of iridescent colloidal crystal coatings with variable structural colors[J]. Optics Express, 2013, 21(15): 17831-17838.
doi: 10.1364/OE.21.017831
[22] ZHENG X, WANG Q, LUAN J L, et al. Angle-dependent structural colors in a nanoscale-grating photonic crystal fabricated by reverse nanoimprint technology[J]. Beilstein Journal of Nanotechnology, 2019, 10(1): 1211-1216.
doi: 10.3762/bjnano.10.120
[23] WANG W T, TANG B T, MA W, et al. Easy approach to assembling a biomimetic color film with tunable structural colors[J]. Journal of the Optical Society of America A, 2015, 32(6): 1109-1117.
doi: 10.1364/JOSAA.32.001109
[24] STÖBER W, FINK A, BOHN E. Controlled growth of monodisperse silica spheres in the micron size range[J]. Journal of Colloid and Interface Science, 1968, 26(1): 62-69.
doi: 10.1016/0021-9797(68)90272-5
[25] GAO W H, RIGOUT M, OWENS H. Facile control of silica nanoparticles using a novel solvent varying method for the fabrication of artificial opal photonic crystals[J]. Journal of Nanoparticle Research, 2016, 18(12): 387.
doi: 10.1007/s11051-016-3691-8
[26] GAO W H, RIGOUT M, OWENS H. Self-assembly of silica colloidal crystal thin films with tuneable structural colours over a wide visible spectrum[J]. Applied Surface Science, 2016, 380(1): 12-15.
doi: 10.1016/j.apsusc.2016.02.106
[27] GAO W H, RIGOUT M, OWENS H. The structural coloration of textile materials using self-assembled silica nanoparticles[J]. Journal of Nanoparticle Research, 2017, 19(9): 303.
doi: 10.1007/s11051-017-3991-7
[28] 陈佳颖, 田旭, 彭晶晶, 等. 针织物表面结构色的构建[J]. 纺织学报, 2020, 41(7): 117-121.
CHEN Jiaying, TIAN Xu, PENG Jingjing, et al. Fabrication of structural colors for knitted fabrics[J]. Journal of Textile Research, 2020, 41(7): 117-121.
[29] 李义臣, 刘国金, 邵建中, 等. 二氧化硅/聚甲基丙烯酸甲酯光子晶体在涤纶织物上的结构生色[J]. 纺织学报, 2016, 37(10): 62-67.
LI Yichen, LIU Guojin, SHAO Jianzhong, et al. Structural colors of SiO2/polymethylmethacrylate photonic crystal on polyester fabrics[J]. Journal of Textile Research, 2016, 37(10): 62-67.
[30] PAN M Y, LI X B, XIONG C J, et al. Robust and flexible colloidal photonic crystal films with bending strain-independent structural colors for anticounter-feiting[J]. Particle & Particle Systems Characterization, 2020, 37(4): 1900495.
[31] TILLEY R J D. Colour and the optical properties of materials[M]. New York: John Wiley & Sons, 2010: 221.
[32] 林田田, 杨丹, 陈佳颖, 等. 不同粒径SiO2粒子混合制备光子晶体结构色薄膜[J]. 精细化工, 2021, 38(8): 1693-1698.
LIN Tiantian, YANG Dan, CHEN Jiaying, et al. Fabrication of photonic crystal structurally colored films by mixing different sized silica nanoparticles[J]. Fine Chemicals, 2021, 38(8): 1693-1698.
[1] ZHU Xiaowei, WEI Tianchen, XING Tieling, CHEN Guoqiang. Preparation and numerical simulation of colored fabric with amorphous photonic crystal structures [J]. Journal of Textile Research, 2021, 42(09): 90-96.
[2] WANG Xiaohui, LI Yichen, LIU Guojin, TANG Zuping, ZHOU Lan, SHAO Jianzhong. Preparation and optical properties of flexible photonic crystal film for structural colors [J]. Journal of Textile Research, 2021, 42(02): 12-20.
[3] CHEN Jiaying, TIAN Xu, PENG Jingjing, FANG Tong, GAO Weihong. Fabrication of structural colors for knitted fabrics [J]. Journal of Textile Research, 2020, 41(07): 117-121.
[4] LIU Guojin, HAN Pengshuai, CHAI Liqin, WU Yu, LI Hui, GAO Yafang, ZHOU Lan. Preparation and stability of self-crosslinking P(St-NMA) photonic crystals with structural colors on polyester fabrics [J]. Journal of Textile Research, 2020, 41(05): 99-104.
[5] CHEN Jiaying, XIN Binjie, XIN Sanfa, DU Weiping, XU Yingqi, GAO Weihong. Research progress in structurally colored fabrics using photonic crystals [J]. Journal of Textile Research, 2020, 41(04): 181-187.
[6] . Color development of photonic crystals on fabric surface [J]. JOURNAL OF TEXTILE RESEARCH, 2017, 38(08): 91-95.
[7] . Structural colors of SiO2/polymethyllmethacrylate photonic crystal on polyester fabrics [J]. JOURNAL OF TEXTILE RESEARCH, 2016, 37(10): 62-67.
Viewed
Full text


Abstract

Cited

  Shared   
  Discussed   
[1] JI Changchun, ZHANG Kaiyuan, WANG Yudong, WANG Xinhou. Numerical calculation and analysis of three-dimensional flow field in melt-blown process[J]. Journal of Textile Research, 2019, 40(08): 175 -180 .
[2] SUN Guangwu, LI Jiecong, XIN Sanfa, WANG Xinhou. Diameter prediction of melt-blown fiber based on non-Newtonian fluid constitutive equations[J]. Journal of Textile Research, 2019, 40(11): 20 -25 .
[3] ZHEN Qi, ZHANG Heng, ZHU Feichao, SHI Jianhong, LIU Yong, ZHANG Yifeng. Fabrication and properties of polypropylene/polyester bicomponent micro-nanofiber webs via melt blowing process[J]. Journal of Textile Research, 2020, 41(02): 26 -32 .
[4] LI Huiqin, ZHANG Nan, WEN Xiaodan, GONG Jixian, ZHAO Xiaoming, WANG Zhishuai. Progress of noise reduction product based on fiber materials[J]. Journal of Textile Research, 2020, 41(03): 175 -181 .
[5] ZHANG Xing, LIU Jinxin, ZHANG Haifeng, WANG Yuxiao, JIN Xiangyu. Preparation technology and research status of nonwoven filtration materials for individual protective masks[J]. Journal of Textile Research, 2020, 41(03): 168 -174 .
[6] SUN Huanwei, ZHANG Heng, ZHEN Qi, ZHU Feichao, QIAN Xiaoming, CUI Jingqiang, ZHANG Yifeng. Filtrations of propylene-based micro-nano elastic filters via melt blowing process[J]. Journal of Textile Research, 2020, 41(10): 20 -28 .
[7] WANG Chunhong, LI Ming, LONG Bixuan, CAI Yingjie, WANG Lijian, ZUO Qi. Preparation and performance of polyvinyl alcohol/sodium alginate/berberine medical dressing[J]. Journal of Textile Research, 2021, 42(05): 16 -22 .
[8] WANG Yudong, JI Changchun, WANG Xinhou, GAO Xiaoping. Design and numerical analysis of new types of melt blowing slot-dies[J]. Journal of Textile Research, 2021, 42(07): 95 -100 .
[9] DING Mengyao, DAI Mengnan, LI Meng, LIU Ping, XU Jingjing, WANG Jiannan. Separation and characterization of silk fibroin with different molecular weight[J]. Journal of Textile Research, 2021, 42(07): 46 -53 .
[10] LIU Hao, LU Minglei, HUANG Xiaowei, WANG Na, WANG Xuefang, NING Xin, MING Jinfa. Preparation and characterization of silk fibroin hydrogel in acid-alcohol system[J]. Journal of Textile Research, 2021, 42(08): 41 -48 .