Journal of Textile Research ›› 2024, Vol. 45 ›› Issue (03): 28-35.doi: 10.13475/j.fzxb.20220906901

• Fiber Materials • Previous Articles     Next Articles

Controllable preparation of cellulose/tea residue composite films and food preservation properties

HAN Junfeng, WANG Yunxia, WU Wei, HU Chaofan, FENG Qichun, DU Zhaofang()   

  1. School of Materials and Chemistry, Anhui Agricultural University, Hefei, Anhui 230036, China
  • Received:2022-12-27 Revised:2023-09-26 Online:2024-03-15 Published:2024-04-15
  • Contact: DU Zhaofang E-mail:dzf@ahau.edu.cn

Abstract:

Objective A lot of caffeine and tea polyphenols are contained in the waste tea residue, which have excellent antibacterial effect and are ideal raw materials for the preparation of food preservation films. However, the molecular chain of tea residues is short, and the film formation rate is low. Herein, a phase conversion casting film strategy is proposed, where cellulose and tea residue are dissolved in ion liquids. The caffeine and tea polyphenols are well extracted and dispersed into cellulose, and hydrogen bonds drive cellulose to build films in the ion liquids.

Method The cellulose/tea residue composite film was prepared by casting film method. Cellulose and tea residue were dissolved with ionic liquid as solvent, and the mixed solution was obtained by adding glycerol as plasticizer. The composite film precursor was obtained by centrifuging the mixed solution. The precursor was prepared into wet film by phase change method, and then transferred to the mold and air-dried at room temperature to prepare cellulose/tea residue composite film. The mechanical properties and antioxidant properties of the composite films were measured by tensile testing machine and ultraviolet visible spectrophotometer. The food preservation performance of the composite films was determined by plate counting method. The water content, water solubility and mass ratio of the composite film were obtained by measuring the weight change of the composite films in different solution media.

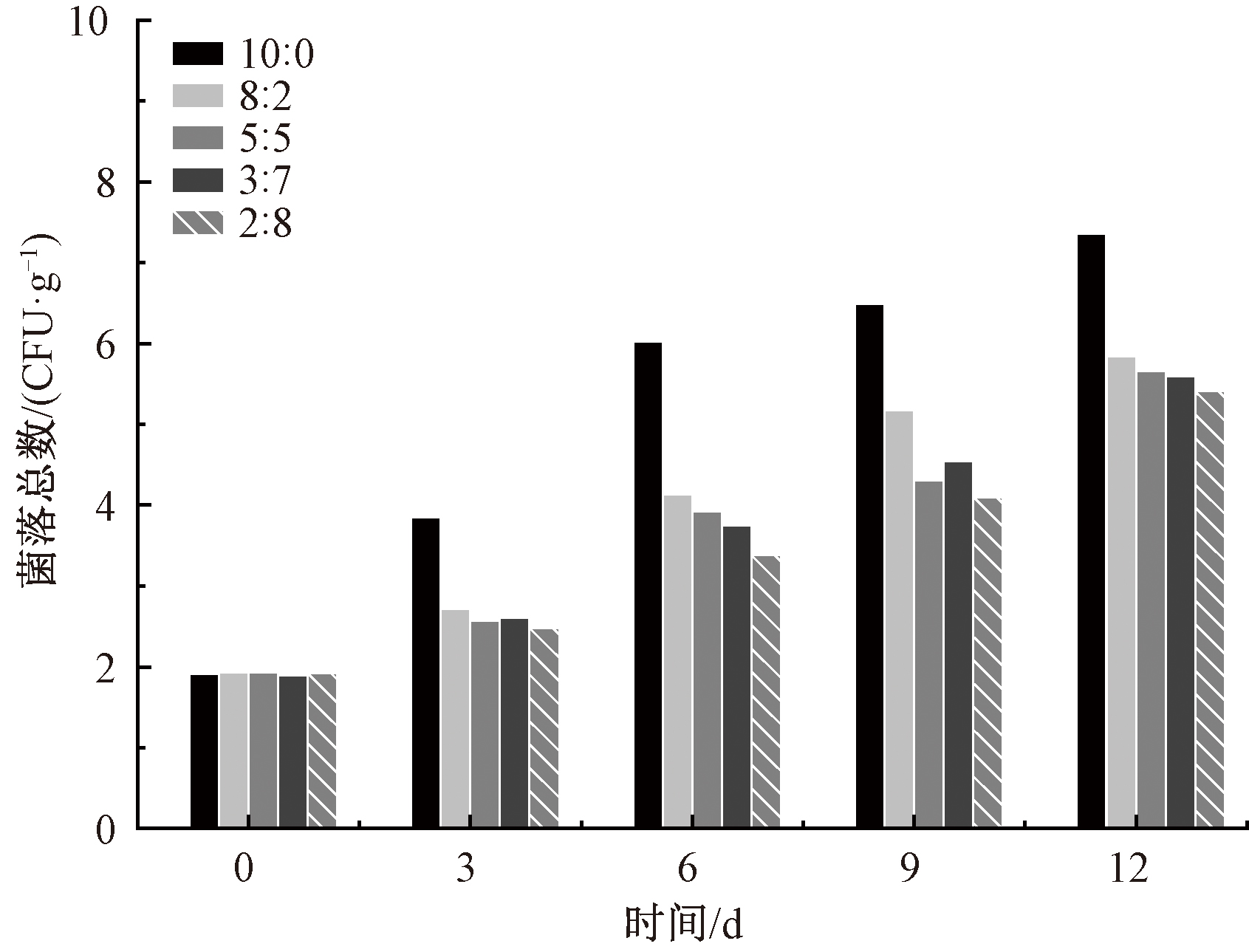
Results The final dissolution temperature of tea residue in ionic liquid ([EMIm]Ac) was 90 ℃, which was lower than the [AMIm]Cl. The DPPH free radical scavenging properties of the cellulose/tea residue composite films was 45.9%, which was increased about 32 times than the pure cellulose film. There was a strong positive relationship between tea residue and moisture content. The moisture content of the composite film was 4.8% higher than that of the pure cellulose film with 80% tea residue, and water solubility decreased to 11%. Moreover, the gas permeability value was also positively correlated with the content of tea residue. The gas permeability value of the composite film with 80% tea residue revised to 7.2 mol·m/(m2·s·Pa), which was about 67% higher than pure cellulose film. The food preservation performance of the cellulose/tea residue composite films was between the pure cellulose film and commercial PE film. When the tea residue content reached 80%, the water loss rate of the fresh beef embedded with the composite film was only 28.9%, which was significantly lower than pure cellulose film (57%). The prepared composite film demonstrated excellent gas permeability. Therefore, the film was able to prolong the storage time of beef for 3-4 d compared to PE film. Tea residue was effectively capable of inhibiting the microbial colonies, which further improved the food preservation performance of the composite films to 12 d.

Conclusion The [EMIm]Ac had the lowest dissolution time and temperature for tea residue, which was the optimal solvent for tea residue. The DPPH free radical scavenging rate of the prepared films was 32 times higher than pure cellulose film, and the antioxidant activity was also significantly enhanced. These were attributed to the large amount of antioxidant active component contained in the tea residue. With the increase of tea residue content, the water solubility of the composite films gradually decreased, and the moisture content was increased. These were mainly attributed to high hydrophobicity of the tea residue, and the network of the prepared films contained massive pores. Compared to commercial PE films, the cellulose/tea residue composite film had an excellent preservation performance, and the preservation time was able to be prolonged by 3-6 d. Therefore, the research opened a new avenue for the utilization of tea residue waste.

Key words: composite film, preservation material, tea residue, cellulose, ionic liquid, caffeine, tea polyphenol

CLC Number: 

  • TB33

Fig.1

Mechanism of cellulose dissolution in ionic liquids"

Fig.2

Images of tea residue dissolving in various ion liquids"

Fig.3

DPPH free radical scavenging properties of cellulose/tea residue composite films"

Fig.4

Moisture contents of cellulose/tea residue composite films"

Fig.5

Water solubilities of cellulose/tea residue composite films"

Fig.6

Gas permeabilities of cellulose/tea residue composite films"

Fig.7

Water loss rate of beef under different films coatings"

Fig.8

pH values of beef under different films coatings"

Fig.9

Bacterial count of beef under different films coatings"

[1] 饶俊, 关莹, 高慧, 等. 半纤维素基高力学性能复合膜的制备与表征[J]. 材料科学与工程学报, 2020, 38(5):817-821,830.
RAO Jun, GUAN Ying, GAO Hui, et al. Preparation and characterization of high mechanical property blend film based on hemicellulose[J]. Journal of Materials Science and Engineering, 2020, 38(5):817-821,830.
[2] CHEN Genqiang, FENG Fenghong, YUAN Jingying, et al. Super solvent of cellulose with extra high solubility for tunable cellulose structure with versatile application[J]. Carbohydrate Polymers, 2022. DOI:10.1016/j.carbpol.2022.119917.
[3] 洪铮铮, 田秀枝, 蒋学, 等. 二醛纳米纤维素交联聚乙烯醇膜的制备及性能[J]. 材料科学与工程学报, 2019, 37(4):578-582.
HONG Zhengzheng, TIAN Xiuzhi, JIANG Xue, et al. Preparation and properties of dialdehyde nanocellulose cross-linked polyvinyl alcohol membranes[J]. Journal of Materials Science and Engineering, 2019, 37(4):578-582.
[4] 张祎. 茶产业废弃物的资源化利用与循环经济发展[J]. 福建茶叶, 2022, 44(4):14-16.
ZHANG Yi. Tea industry waste resource utilization and circular economy development[J]. Tea in Fujian, 2022, 44(4):14-16.
[5] 单治国, 强继业, 满红平, 等. 茶渣的饲料化利用技术及其在动物生产中的应用[J]. 饲料研究, 2022, 45(10):151-154.
SHAN Zhiguo, QIANG Jiye, MAN Hongping, et al. Feed utilization technology of tea residue and its application in animal production[J]. Feed Research, 2022, 45(10):151-154.
[6] 费燕娜, 傅佳佳, 万玉芹, 等. 聚乳酸/茶多酚复合纳米纤维膜抗菌机理[J]. 材料科学与工程学报, 2013, 31(2):181-185,174.
FEI Yanna, FU Jiajia, WAN Yuqin, et al. Antibacterial mechanism of PLA/TP composite nanofiber films[J]. Journal of Materials Science and Engineering, 2013, 31(2):181-185,174.
[7] 杨玲玲, 陈亚蓝, 张金帆, 等. 信阳绿茶茶渣-壳聚糖复合膜对鸡蛋的保鲜效果研究[J]. 现代食品, 2021(14):90-93.
YANG Lingling, CHEN Yalan, ZHANG Jinfan, et al. Study on the fresh-keeping effect of Xinyang green tea dreg and chitosan composite membrane on eggs[J]. Modern Food, 2021(14):90-93.
[8] 谢妍妍, 柴云, 张普玉. 离子液体溶解纤维素的研究[J]. 化学通报, 2020, 83(12):1104-1112.
XIE Yanyan, CHAI Yun, ZHANG Puyu. Study on dissolving cellulose by lonic liquids[J]. Chemistry Bulletin, 2020, 83(12):1104-1112.
[9] 李静, 蒋舰, 贠涛, 等. 功能性离子液体的应用研究进展[J]. 黑龙江工业学院学报(综合版), 2021, 21(2):98-103.
LI Jing, JIANG Jian, YUN Tao, et al. Advances in the application of functional ionic liquids[J]. Journal of Heilongjiang University of Technology(Comprehensive Edition), 2021, 21(2):98-103.
[10] 赵金政, 周国辉, 刘晓敏, 等. 离子液体在生物质溶解分离中的应用与机理研究[J]. 化工学报, 2021, 72(1):247-258.
doi: 10.11949/0438-1157.20201065
ZHAO Jinzheng, ZHOU Guohui, LIU Xiaomin, et al. Study on application and mechanism of ionic liquids in biomass dissolution and separation[J]. CIESC Journal, 2021, 72(1):247-258.
[11] 易荣楠, 何卫民. 电子给体-受体复合物实现可见光诱导的自由基芳基化反应[J]. 有机化学, 2022, 42(8):2590-2592.
doi: 10.6023/cjoc202200040
YI Rongnan, HE Weimin. Visible-light-induced radical arylation reactions via electron donor-acceptor complex[J]. Chinese Journal of Organic Chemistry, 2022, 42(8):2590-2592.
doi: 10.6023/cjoc202200040
[12] 张芳芳, 郑飞飞, 吴学红, 等. 离子液体[EMIm]Ac比热容、导热系数及黏度的研究[J]. 工程热物理学报, 2018, 39(8):1809-1813.
ZHANG Fangfang, ZHENG Feifei, WU Xuehong, et al. Study on specific heat capacity, thermal conductivity and viscosity of ionic liquid [EMIm]Ac[J]. Journal of Engineering Thermophysics, 2018, 39(8):1809-1813.
[13] 何明宇, 徐文豪, 李颖, 等. 棉杆木质素/PP-g-MAH复合材料的制备及其结构和抗氧化性能[J]. 材料科学与工程学报, 2022, 40(3):448-454.
HE Mingyu, XU Wenhao, LI Ying, et al. Preparation, structure and anti-oxidation performance of cotton stalk lignin/PP-g-MAH composite[J]. Journal of Materials Science and Engineering, 2022, 40(3):448-454.
[14] 盛澄成, 徐阳, 魏取福, 等. Cu/Al2O3复合薄膜的制备及其抗氧化性能[J]. 材料科学与工程学报, 2017, 35(4):596-599,606.
SHENG Chengcheng, XU Yang, WEI Qufu, et al. Preparation and oxidation resistance of Cu/Al2O3 thin film[J]. Journal of Materials Science and Engineering, 2017, 35(4):596-599,606.
[15] 刘长梅, 陈悦鸣, 胡煜. 不同茶叶中儿茶素、芦丁含量和抗氧化性效果研究[J]. 中国卫生工程学, 2022, 21(3):453-455,458.
LIU Changmei, CHEN Yueming, HU Yu. Study on the contents of catechin and rutin in different tea and their antioxidant effects[J]. Chinese Journal of Public Health Engineering, 2022, 21(3):453-455,458.
[16] 俞蓉欣, 郑芹芹, 陈红平, 等. 儿茶素生物医用纳米材料研究进展[J]. 茶叶科学, 2022, 42(4):447-462.
YU Rongxin, ZHENG Qinqin, CHEN Hongping, et al. Recent advances in catechin biomedical nano-materials[J]. Journal of Tea Science, 2022, 42(4):447-462.
[17] 曹延芬, 卫灵君, 卢莉璟, 等. 利用生物质颗粒制备纸包装材料[J]. 材料科学与工程学报, 2021, 39(1):135-140.
CAO Yanfen, WEI Lingjun, LU Lijing, et al. Paper packaging materials prepared by introducing granular biomass[J]. Journal of Materials Science and Engineering, 2021, 39(1):135-140.
[18] 郑海英, 朱燕丽, 钟秋夏, 等. 包装材料对紫米贮藏品质的影响[J]. 食品工业科技, 2023, 44(7):234-243.
ZHENG Haiying, ZHU Yanli, ZHONG Qiuxia, et al. Effect of packaging materials on the storage quality of purple rice[J]. Science and Technology of Food Industry, 2023, 44(7):234-243.
[19] WANG Zeyu, HUANG Jinbao, YUN Dawei, et al. Antioxidant packaging films developed based on chitosan grafted with different catechins:characterization and application in retarding corn oil oxidation[J]. Food Hydrocolloids, 2022.DOI:10.1016/j.foodhyd.2022.107970.
[20] 刘妍靖, 李西月, 刘跃洲, 等. 可食用抗菌膜在食品包装领域的应用及研究进展[J]. 食品科学, 2022.DOI:10.7506/spkx1002-6630-20220509-097.
LIU Yanjing, LI Xiyue, LIU Yuezhou, et al. Application of edible antibacterial film in food packaging field and research progress[J]. Food Science, 2022.DOI:10.7506/spkx1002-6630-20220509-097.
[21] 段孟霞, 俞珊, 孙继帅, 等. 多糖基智能包装膜及其在水产品保鲜中的应用[J]. 中国食品学报, 2022, 22(5):412-421.
DUAN Mengxia, YU Shan, SUN Jishuai, et al. Research progress of polysaccharide-based intelligent packaging film and its application in aquaticproduct preserv-ation[J]. Journal of Chinese Institute of Food Science and Technology, 2022, 22(5):412-421.
[22] 邹丽娜, 李晓楠, 周小婉, 等. 柠檬醛纳米乳对壳聚糖涂膜性能和保鲜效果的影响[J]. 食品与发酵工业, 2022.DOI:10.13995/j.cnki.11-1802/ts.032405.
ZOU Lina, LI Xiaonan, ZHOU Xiaowan, et al. Effect of citral nanoemulsion on the properties of chitosan coating and preservation performance[J]. Food and Fermentation Industries, 2022.DOI:10.13995/j.cnki.11-1802/ts.032405.
[23] 杨丰, 娄晓, 骆晏榕. 改性淀粉/PVA水溶性薄膜的制备与性能表征[J]. 山东化工, 2021, 50(16):61-62.
YANG Feng, LOU Xiao, LUO Yanrong. Preparation and characterization of modified starch/PVA water soluble film[J]. Shandong Chemical Industry, 2021, 50(16):61-62.
[24] SHANG Xiang, TANG Xiuxiu, SAEID Razabjadeh, et al. Fabrication of PVDF/EVOH blend hollow fiber membranes with hydrophilic property via thermally induced phase process[J]. Separation and Purification Technology, 2022.DOI:10.1016/j.seppur.2022.122031.
[25] LI Ling, SUN Xiaohong, LUO Junyi, et al. Effects of herbal tea residue on growth performance, meat quality, muscle metabolome, and rumen microbiota characteristics in finishing steers[J]. Frontiers in Microbiology, 2021.DOI: 10.3389/fmicb.2021.821293.
[26] SURAFEL Mustefa Beyan, TEMESGEN Abeto Amibo, et al. VENKATESA Prabhu Sundramurthy, Development of anchote (coccinia abyssinica) starch-based edible film: response surface modeling and interactive analysis of composition for water vapor permeability[J]. Journal of Food Measurement and Characterization, 2022.DOI:10.1007/s11694-022-01338-w.
[27] CAROLINA Caicedo, et al. CLAUDIO Alonso Diaz-Cruz,ENRIQUE Javier Jimenez-Rezalado, Effect of plasticizer content on mechanical and water vapor permeability of maize starch/PVOH/chitosan composite films[J]. Materials, 2022.DOI:10.3390/ma15041274.
[28] SUSANA Guzman-Puyol, JOSE J Benitez, JOSE A Heredia-Guerrero, et al. Transparency of polymeric food packaging materials[J]. Food Research International, 2022.DOI:10.1016/j.foodres.2022.111792.
[29] KHALIL R, ABDELRAHIM D S, SHARABY M R. Novel active edible food packaging films based entirely on citrus peel wastes[J]. Food Hydrocolloids, 2023.DOI:10.106/j.foodhyd.2022.107961.
[30] FLOREZ Maria, CAZON Patricia, VAZQUEZ Manuel. Active packaging film of chitosan and santalum album essential oil: characterization and application as butter sachet to retard lipid oxidation[J]. Food Packaging and Shelf Life, 2022.DOI:10.1016/j.fpsl.2022.100938.
[31] XU Weidong, HE Yingchao, LI Jiaheng, et al. Olfactory visualization sensor system based on colorimetric sensor array and chemometric methods for high precision assessing beef freshness[J]. Meat Science, 2022.DOI:10.1016/j.meatsci.2022.108950.
[32] YANG Xiaoyin, XU Baochen, ZHANG Xiran, et al. Shelf-life extension of chilled and superchilled dark-cutting beef held under combined anoxic master packaging and high-oxygen packaging both enriched with carbon dioxide[J]. Food Packaging and Shelf Life, 2022.DOI:10.1016/j.fpsl.100940.
[1] XIAO Hao, SUN Hui, YU Bin, ZHU Xiangxiang, YANG Xiaodong. Preparation of chitosan-SiO2 aerogel/cellulose/polypropylene composite spunlaced nonwovens and adsorption dye performance [J]. Journal of Textile Research, 2024, 45(02): 179-188.
[2] GU Jinjun, WEI Chunyan, GUO Ziyang, LÜ Lihua, BAI Jin, ZHAO Hanghuiyan. Preparation and performonce of cotton stalk bast microcrystalline cellulose/modified graphene oxide composite flame-retardant fiber [J]. Journal of Textile Research, 2024, 45(01): 39-47.
[3] WANG Hanchen, WU Jiayin, HUANG Biao, LU Qilin. Fabrication and properties of biocompatible nanocellulose self-healing hydrogels [J]. Journal of Textile Research, 2023, 44(12): 17-25.
[4] ZHANG Yongfang, FEI Pengfei, YAN Zhifeng, WANG Shuhua, GUO Hong. Research progress of hydrothermal degradation of waste cellulose textiles [J]. Journal of Textile Research, 2023, 44(12): 216-224.
[5] WANG Xiaokang, XIE Kaifang, ZHOU Hengshu, BAO Xinjun, XU Yingsheng. Preparation and characterization of acetate grade reed pulp [J]. Journal of Textile Research, 2023, 44(09): 52-59.
[6] SHAO Yanzheng, SUN Jianghao, WEI Chunyan, LÜ Lihua. Preparation and properties of adsorption fiber made from cotton stalk bark microcrystalline cellulose/modified chitosan [J]. Journal of Textile Research, 2023, 44(08): 18-25.
[7] ZHOU Tang, WANG Dengbing, ZHAO Lei, LIU Zuyi, FENG Quan. Preparation of bacterial cellulose/Au film loaded with tungsten trioxide and its catalytic performance [J]. Journal of Textile Research, 2023, 44(04): 16-23.
[8] JIANG Qi, LIU Yun, ZHU Ping. Preparation and properties of flame retardant/anti-ultraviolet cotton fabrics with tea polyphenol based flame retardants [J]. Journal of Textile Research, 2023, 44(02): 222-229.
[9] PU Haihong, HE Pengxin, SONG Baiqing, ZHAO Dingying, LI Xinfeng, ZHANG Tianyi, MA Jianhua. Preparation of cellulose/carbon nanotube composite fiber and its functional applications [J]. Journal of Textile Research, 2023, 44(01): 79-86.
[10] QIAO Xiran, FANG Kuanjun, LIU Xiuming, GONG Jixian, ZHANG Shuai, ZHANG Min. Different influence of hydroxyethyl methyl cellulose pretreatment on surface properties of cotton and polyamide [J]. Journal of Textile Research, 2022, 43(11): 127-132.
[11] ZHANG Tianyun, SHI Xiaohong, ZHANG Le, WANG Fujuan, XIE Yi'na, YANG Liang, RAN Fen. Bacterial cellulose/polyacrylamide hydrogel polymer electrolyte with dual-crosslinked network based on ionic liquid synergistic method [J]. Journal of Textile Research, 2022, 43(11): 22-28.
[12] ZHANG Xiaocheng, ZHOU Yan, TIAN Weiguo, QIAO Xin, JIA Fengwei, XU Lili, ZHANG Jinming, ZHANG Jun. Rapid separation and content determination of fibers from waste cotton/polyester blended fabrics [J]. Journal of Textile Research, 2022, 43(07): 1-8.
[13] LIANG Jiaojiao, WANG Jingjing, XIA Yumin, ZHU Xinyuan, YAN Bing, SUN Liming, WANG Yanping, HE Yong, WANG Yimin. Preparation and properties of normal pressure-anionic dyeable polypropylene fiber based on polyionic liquid [J]. Journal of Textile Research, 2022, 43(07): 17-21.
[14] LI Qin, LI Xingxing, XIE Fangfang, ZHOU Wenlong, CHEN Kaiyi, LIU Yuqing. Research progress in nanocellulose energy storage materials based on electrospinning and carbonization methods [J]. Journal of Textile Research, 2022, 43(05): 178-184.
[15] LI Xingxing, LI Qin, YUE Tiantian, LIU Yuqing. Progress in microfluidics preparation technology of micro/nano cellulose materials [J]. Journal of Textile Research, 2022, 43(04): 180-186.
Viewed
Full text


Abstract

Cited

  Shared   
  Discussed   
No Suggested Reading articles found!