Journal of Textile Research ›› 2025, Vol. 46 ›› Issue (06): 168-177.doi: 10.13475/j.fzxb.20241201101

• Dyeing and Finishing Engineering • Previous Articles     Next Articles

Preparation and properties of flame retardant polyacrylonitrile filament fabrics by layer-by-layer self-assembly method

DING Yuan1,2, ZHAO Yunxia1,2, JIN Gaoling3, YANG Tao3, XU Jing1,2(), KE Fuyou1,2, CHEN Ye1,2   

  1. 1. College of Materials Science and Engineering, Donghua University, Shanghai 201620, China
    2. State Key Laboratory of Advanced Fiber Materials, Donghua University, Shanghai 201620, China
    3. China Chemical Fibers Association, Beijing 100020, China
  • Received:2024-12-06 Revised:2025-03-06 Online:2025-06-15 Published:2025-07-02
  • Contact: XU Jing E-mail:gemini69@126.com

Abstract:

Objective Polyacrylonitrile (PAN), is widely used in high-value-added applications, particularly in the development of domestically produced PAN filaments for the shielding covering layer of cable core materials. Cables are predominantly installed in buildings and densely populated areas, making them vulnerable to fire caused by factors such as increased loads, wire short-circuiting, and other electrical faults. During combustion, toxic gases, including hydrogen cyanide (HCN) and carbon monoxide (CO), are released, posing significant risks to human life and property safety. Consequently, enhancing the flame retardant properties of PAN filament fabrics has become a critical research focus in the industry.

Method In order to obtain the environmentally friendly flame retardancy of PAN fabrics, flame retardant polyacrylonitrile filament fabrics were prepared by using PAN filament fabrics as the substrate and constructing on it a ternary self-assembled flame retardant system using phytic acid (PA)/polyethyleneimine (PEI)/3-aminopropyltriethoxysilane (APTES), adopting the layer-by-layer self-assembly method. The surface morphology and macromolecular structure of the flame retardant modified fabrics, as well as their thermal stability and flame retardant properties were investigated.

Results The results showed that after self-assembly of PA/PEI/APTES layers, the flame retardant elements such as phosphorus (P), nitrogen (N) and silicon (Si) were effectively introduced on the surface of the PAN fabric, whereas the untreated PAN fabric had only the presence of C, N and O elements on its surface. The new P element was added on the surface of PAN-PEI fabrics, and the P content was increased to 8.81%, and the H2PO4/PO4 characteristic peaks at 133.8 eV were observed after self-assembly. The characteristic signal of Si element appeared in the XPS spectra when increasing APTES from 1.0% to 3.0%. The characteristic peak of H2PO4/PO4 was also observed. After further introduction of APTES, the Si element was increased from 1.13% to 3.78% when increasing APTES concentration from 1.0% to 3.0%, while the N and P elements were slightly decreased. The residual carbon of the fabrics before and after flame-retardant modification increased from 0 to 13.1% at 900 ℃, the limiting oxygen index (LOI) of the fabrics increased from 17.4% to 27.5%, the sustained ignition and negative ignition time of the fabrics reached 0 s. The total smoke release was decreased by 63.6% from 1.1 to 0.4 m2, and the heat release rate was reduced by 18.9%. The fabrics exhibited excellent performance after PA/PEI/APTES alternating assembly.

Conclusion A ternary flame retardant system of PA/PEI/APTES was constructed using layer-by-layer self-assembly technology, and the flame retardant polyacrylonitrile filament fabrics were successfully prepared, which is expected to be applied to shielding wrapping layers of internal cores of cables as well as to some application environments that do not need to be washed. Compared with the untreated PAN fabrics, the self-assembled flame retardant modified fabrics showed an increase in LOI value from 17.4% to 27.5%, a decrease in the maximum value of heat release rate by 18.9%, and a decrease in the total smoke release by 63.6%, which demonstrated that the flame retardant and smoke inhibition properties of the flame retardant modified fabrics were greatly improved.

Key words: polyacrylonitrile, flame retardant, layer-by-layer self-assembly, phytate, cable material, 3-aminopropyltriethoxysilane

CLC Number: 

  • TS195.17

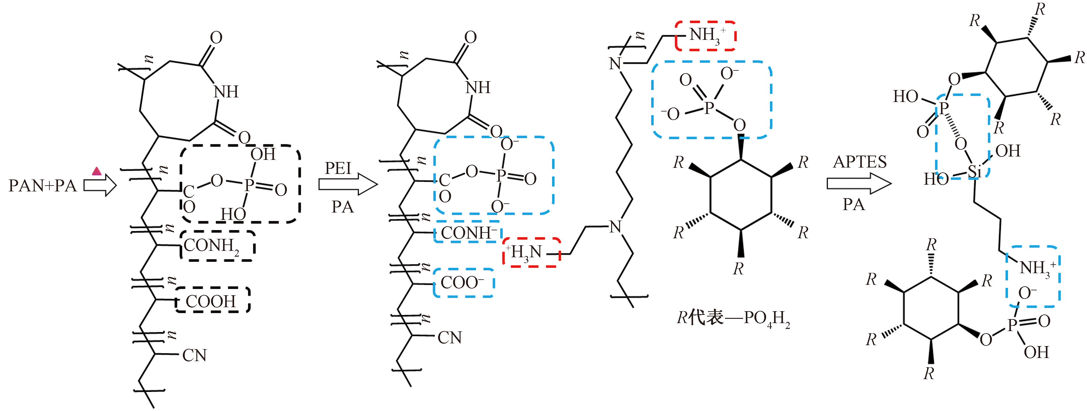
Fig.1

PAN fabric pretreatment and self-assembly mechanism"

Fig.2

SEM images of fabrics before and after layer-by-layer self-assembly"

Fig.3

SEM images (a) and N,P,Si elemental distribution (b) of fabrics before and after layer-by-layer self-assembly"

Fig.4

Infrared spectra of fabrics before and after layer-by-layer self-assembly"

Tab.1

Surface element content of fabrics before and after layer-by-layer self-assembly %"

样品名称 Si N P C O
PAN 4.66 78.48 15.49
PAN-PEI 8.39 8.81 45.65 37.15
PAN-1Si 1.13 8.73 7.94 50.75 31.46
PAN-2Si 3.37 8.17 7.68 48.23 32.56
PAN-3Si 3.78 7.19 7.33 47.26 34.44

Fig.5

XPS spectra of fabrics before and after layer-by-layer self-assembly.(a)Full spectra;(b)P 2p narrow spectra;(c) Si 2p narrow spectra"

Fig.6

Thermogravimetric curves of fabrics in air before and after layer-by-layer self-assembly. (a)TG curves;(b)DTG curves"

Tab.2

Thermal performance parameters of fabrics before and after layer-by-layer self-assembly"

样品名称 T5%/℃ T1max/℃ T2max/℃ T3max/℃ 900 ℃时的
残炭量/%
PAN 294 311 380 655 0
PAN-PEI 297 302 411 722 1.9
PAN-1Si 293 302 412 705 3.8
PAN-2Si 284 298 400 773 8.2
PAN-3Si 272 303 396 816 13.1

Fig.7

Combustion mechanism of PA/PEI/APTES ternary flame retardant system"

Tab.3

Data of limiting oxygen index and vertical combustion of fabrics before and after layer-by-layer self-assembly"

样品名称 LOI值/% 损毁长度/mm 阴燃时间/s 续燃时间/s
PAN 17.4 300
PAN-PEI 21.8 200
PAN-1Si 21.3 300
PAN-2Si 24.0 148 0 0
PAN-3Si 27.5 65 0 0

Fig.8

Vertical combustion photographs of fabrics before and after layer-by-layer self-assembly"

Fig.9

Fabric heat release rate (a), total heat release rate (b), smoke release rate (c), and total smoke release (d) curves before and after layer-by-layer self-assembly"

Fig.10

Digital photographs of charcoal layer after conical calorimetry test"

Fig.11

SEM images of surface of charcoal layer"

Fig.12

Raman spectra of fabric residual carbon before and after layer-by-layer self-assembly"

[1] 丁倩, 吴俊霖, 江慧, 等. 阻燃腈纶/酚醛树脂纤维织物的制备及其性能[J]. 纺织学报, 2024, 45(4): 83-88.
DING Qian, WU Junlin, JIANG Hui, et al. Preparation and properties of flame-retardant acrylic/phenolic resin fabrics[J]. Journal of Textile Research, 2024, 45(4): 83-88.
[2] 吴俊雄, 尉霞, 罗璟娴, 等. 阻燃腈纶/芳纶包芯纱的制备及其紫外光稳定性[J]. 纺织学报, 2023, 44(3): 60-66.
WU Junxiong, WEI Xia, LUO Jingxian, et al. Preparation and UV stability of flame-retardant acrylic/aramid core-spun yarns[J]. Journal of Textile Research, 2023, 44(3): 60-66.
[3] 赵云霞, 徐静, 陈烨, 等. PA/PEI层层自组装改性PAN织物的制备及其阻燃性能研究[J]. 合成纤维工业, 2023, 46(2): 12-17.
ZHAO Yunxia, XU Jing, CHEN Ye, et al. Preparation and flame retardance of PAN fabric modified by PA/PEI layer-by-layer self-assembly[J]. China Synthetic Fiber Industry, 2023, 46(2): 12-17.
[4] 任元林, 姜丽娜, 霍同国, 等. 聚丙烯腈纤维阻燃改性研究进展[J]. 纺织学报, 2019, 40(8): 181-188.
REN Yuanlin, JIANG Li'na, HUO Tongguo, et al. Research progress on flame retardant modification of polyacrylonitrile fiber[J]. Journal of Textile Research, 2019, 40(8): 181-188.
[5] ZHANG Yan, TIAN Wenxiang, LIU Longxiang, et al. Eco-friendly flame retardant and electromagnetic interference shielding cotton fabrics with multi-layered coatings[J]. Chemical Engineering Journal, 2019(372): 1077-1090.
[6] 董金美, 李颖, 文静, 等. KH550硅烷偶联剂的水解工艺研究[J]. 盐湖研究, 2020, 28(3): 28-33.
DONG Jinmei, LI Ying, WEN Jing, et al. Research on hydrolysis process of KH550 silane coupling agent[J]. Journal of Salt Lake Research, 2020, 28(3): 28-33.
[7] LI Zhongfang, ZHANG Chuanjie, CUI Li, et al. Fire retardant and thermal degradation properties of cotton fabrics based on APTES and sodium phytate through layer-by-layer assembly[J]. Journal of Analytical and Applied Pyrolysis, 2017(123): 216-223.
[8] DU Peibo, ZHANG Jinping, GUO Zhiguang, et al. A novel breathable flexible metallized fabric for wearable heating device with flame-retardant and antibacterial properties[J]. Journal of Materials Science & Technology, 2022(122): 200-210.
[9] REN Yuanlin, ZHANG Yue, GU Yetong, et al. Flame retardant polyacrylonitrile fabrics prepared by organic-inorganic hybrid silica coating via sol-gel techni-que[J]. Progress in Organic Coatings, 2017(112): 225-233.
[10] FENG Yajuan, ZHOU Yang, LI Daikun, et al. A plant-based reactive ammonium phytate for use as a flame-retardant for cotton fabric[J]. Carbohydrate Polymers, 2017(175): 636-644.
[11] LI Gang, YOU Fei, ZHOU Songtao, et al. Preparations, characterizations, thermal and flame retardant properties of cotton fabrics finished by boron-silica sol-gel coatings[J]. Polymer Degradation and Stability, 2022.DOI:1016/j.polymdegradstab.2022.110011.
[12] ROSACE Giuseppe, CASTELLANO Angela, TROVATO Valentina, et al. Thermal and flame retardant behaviour of cotton fabrics treated with a novel nitrogen-containing carboxyl-functionalized organophosphorus system[J]. Carbohydrate Polymers, 2018(196): 348-358.
[13] ZHAO Peihua, XIONG Kuankuan, WANG Wentao, et al. Preparation of a halogen-free P/N/Si flame retardant monomer with reactive siloxy groups and its application in cotton fabrics[J]. Chinese Journal of Chemical Engineering 2017, 25(9): 1322-1328.
[14] CHENG Xianwei, LIANG Chenxi, GUAN Jinping, et al. Flame retardant and hydrophobic properties of novel sol-gel derived phytic acid/silica hybrid organic-inorganic coatings for silk fabric[J]. Applied Surface Science, 2018(427): 69-80.
[1] ZHANG Jiacheng, YU Ying, ZUO Yuxin, GU Zhiqing, TANG Tengfei, CHEN Hongli, LÜ Yong. Torsional sensing characteristics of polyacrylonitrile/MoS2 fiber membranes based on flexoelectric effect [J]. Journal of Textile Research, 2025, 46(06): 80-87.
[2] LIAO Xilin, ZENG Yuan, LIU Shuping, LI Liang, LI Shujing, LIU Rangtong. Preparation of P/N/Si composite synergistic flame retardant cotton fabric and its performance [J]. Journal of Textile Research, 2025, 46(03): 151-157.
[3] GUO Qing, MAO Yangshun, REN Yajie, LIU Jimin, WANG Huaifang, ZHU Ping. Simultaneous in-situ dyeing and flame retardant functionalization of wool fabrics based on laccase catalysis [J]. Journal of Textile Research, 2025, 46(02): 161-169.
[4] ZHANG Jie, GUO Xinyuan, GUAN Jinping, CHENG Xianwei, CHEN Guoqiang. Modification of cotton fabric by in-situ deposition of phosphorus/nitrogen flame retardants for durable flame retardancy [J]. Journal of Textile Research, 2025, 46(02): 180-187.
[5] SONG Wanmeng, WANG Baohong, SUN Yu, YANG Jiaxiang, LIU Yun, WANG Yuzhong. Preparation and performance of flame-retardant viscose fabrics with both mechanical and efficient flame-retardant properties [J]. Journal of Textile Research, 2025, 46(02): 188-196.
[6] ZHAO Chao, JIN Xin, WANG Wenyu, ZHU Zhengtao. Electrospun polyacrylonitrile separator for self-charging supercapacitors [J]. Journal of Textile Research, 2025, 46(02): 20-25.
[7] WEI Yi, XU Hong, ZHONG Yi, ZHANG Linping, MAO Zhiping. Synthesis and application of poly(cyclotriphosphazene-phloroglucinol) microspheres for enhancing flame retardancy of poly(ethylene terephthalate) [J]. Journal of Textile Research, 2025, 46(01): 119-129.
[8] HUANG Tiantian, SONG Yuanzhu, ZHAO Bin. Tannic acid-based flame retardant multifunctional coating for surface finishing Lyocell fabrics [J]. Journal of Textile Research, 2024, 45(12): 152-158.
[9] GUAN Yu, WANG Dong, GUO Yifang, FU Shaohai. Preparation and properties of MoS2/MXene flame retardant gas sensitive cotton fabrics [J]. Journal of Textile Research, 2024, 45(12): 159-165.
[10] DU Lei, WANG Shijie, JIANG Zhiming, ZHU Ping. Preparation and properties of halogen-free and phosphorus-free environment-friendly flame-retardant system for polyamide microfiber synthetic leather [J]. Journal of Textile Research, 2024, 45(11): 162-169.
[11] BING Linhan, WANG Rui, WU Yuhang, LIU Botong, HUANG Hanjiang, WEI Jianfei. Preparation of PET-based carbon dots by pyrolysis and its application in PET flame retardancy [J]. Journal of Textile Research, 2024, 45(10): 1-8.
[12] XIAO Ningning, CHEN Zhijie, OUYANG Yufu, MENG Jingui, SUN Yangyi, QI Dongming. Preparation and characterization of waterborne flame retardant polyurethane for microfiber synthetic leather [J]. Journal of Textile Research, 2024, 45(09): 113-120.
[13] WANG Haoran, YU Ying, ZUO Yuxin, GU Zhiqing, LU Hailong, CHEN Hongli, KE Jun. Preparation and functional application of polyethyleneimine/polyacrylonitrile composite fiber membrane [J]. Journal of Textile Research, 2024, 45(09): 26-32.
[14] WANG Yongzheng, HUANG Lintao, SONG Fuquan. Process optimization and properties of petroleum pitch/polyacrylonitrile electrospun carbon nanofibers [J]. Journal of Textile Research, 2024, 45(08): 107-115.
[15] XU Yusong, ZHOU Jie, GAN Jiayi, ZHANG Tao, ZHANG Xianming. Preparation of phosphorus and nitrogen containing waterborne polyurethane and its application in polyester fabrics for flame retardant finishing [J]. Journal of Textile Research, 2024, 45(07): 112-120.
Viewed
Full text


Abstract

Cited

  Shared   
  Discussed   
No Suggested Reading articles found!