纺织学报 ›› 2025, Vol. 46 ›› Issue (11): 52-60.doi: 10.13475/j.fzxb.20250301101

• 纤维材料 • 上一篇    下一篇

烷基壳聚糖/聚乙烯醇纳米纤维膜的制备及其止血性能

王文淑1, 王建刚2(), 李瀚宇3, 王春红1,4, 谭晓璇1, 王慧泉5   

  1. 1.天津工业大学 纺织科学与工程学院, 天津 300387
    2.绍兴市质量技术监督检测院, 浙江 绍兴 312000
    3.中国纺织科学研究院有限公司, 北京 100025
    4.天津工业大学 绍兴柯桥研究院, 浙江 绍兴 312030
    5.天津工业大学 生命科学学院, 天津 300387
  • 收稿日期:2025-03-06 修回日期:2025-05-19 出版日期:2025-11-15 发布日期:2025-11-15
  • 通讯作者: 王建刚(1979—),男,高级工程师。主要研究方向为纺织品和纺织化学品质量技术基础和有害化学品等检测研究。E-mail: 286138477@qq.com
  • 作者简介:王文淑(1998—),女,硕士生。主要研究方向为功能性纺织材料。
  • 基金资助:
    中国纺织工业联合会科技引导计划项目(2021057);先进纺织复合材料教育部重点实验室开放基金项目(MATC-2021-006)

Preparation and hemostatic performance of alkylated chitosan/polyvinyl alcohol nanofiber membranes

WANG Wenshu1, WANG Jiangang2(), LI Hanyu3, WANG Chunhong1,4, TAN Xiaoxuan1, WANG Huiquan5   

  1. 1. School of Textile Science and Engineering, Tiangong University, Tianjin 300387, China
    2. Shaoxing Testing Institute of Quality Technical Supervision, Shaoxing, Zhejiang 312000, China
    3. China Textile Academy Co., Ltd.,Beijing 100025, China
    4. Shaoxing Keqiao Research Institute, Tiangong University, Shaoxing,Zhejiang 312030, China
    5. School of Life Sciences, Tiangong University, Tianjin 300387, China
  • Received:2025-03-06 Revised:2025-05-19 Published:2025-11-15 Online:2025-11-15

摘要:

为提高壳聚糖基纳米纤维膜的止血性能,采用还原氨化法对壳聚糖进行改性,合成不同取代度(6.25%~58.65%)和碳链长度(C12/C18)的烷基壳聚糖(N-CS)。通过静电纺丝技术将止血性能优异的N-CS与聚乙烯醇(PVA)共混,制备N-CS/PVA纳米纤维膜。对不同质量比下纳米纤维膜的微观结构、亲疏水性、力学性能及凝血性能等进行表征与分析。结果表明:取代度为19.60%的十八烷基壳聚糖表现出最优凝血性能,凝血时间缩短至68 s;当N-CS质量分数为20%时,纳米纤维膜具有良好的微观结构与力学性能,且在生理pH值下呈现良好的疏水平衡和正电性,可有效促进血小板吸附与凝血因子聚集,凝血时间较医用纱布缩短39.50%,细胞增殖率均为90%以上。该材料具有良好的凝血性能和生物安全性,可为机械性创伤急救中壳聚糖基止血敷料的设计提供理论参考。

关键词: 烷基化壳聚糖, 改性, 静电纺丝, 凝血性能, 生物安全, 止血敷料, 聚乙烯醇, 还原氨化法

Abstract:

Objective Currently, conventional hemostatic dressings have the problem of low hemostatic efficiency and are prone to adhere to the wound, causing secondary bleeding. Although chitosan exhibits excellent biocompatibility and antibacterial properties, its hemostatic performance still requires improvement. In order to address this issue, the hemostatic properties of chitosan using chemical modification and electrospinning technology is optimized, which holds significant theoretical and practical value for developing high-efficiency hemostatic materials. In this study, alkylated chitosan (N-CS)/polyvinyl alcohol (PVA) nanofiber membranes was prepared via electrospinning technology.
Method N-CS with varying degrees of substitution (6.25%-58.65%) and carbon chain lengths (C12/C18) was synthesized via reductive amination, and N-CS/PVA nanofiber membranes (NCP0-NCP4) was prepared by blending and electrospinning. In order to characterize the materials, FT-IR and elemental analysis were adopted to confirm the chemical modification. SEM was employed to observe the fiber morphology, while mechanical tests evaluated the membrane strength. Contact angle measurements analyzed hydrophilicity/hydrophobicity, and Zeta potential tests detected surface charge. Finally, in vitro blood clotting tests (WBCT) and cytotoxicity assays (MTT and fluorescence double staining) comprehensively assessed the hemostatic performance and biosafety.
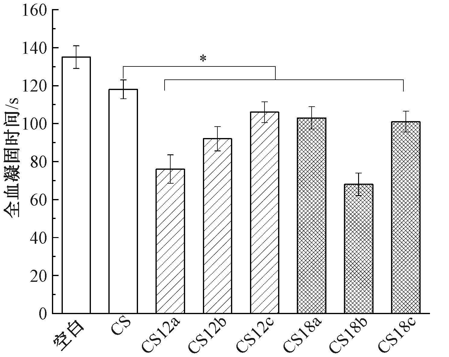
Results Alkylation modification significantly enhanced the coagulation properties of chitosan. The degree of substitution of alkyl chitosan showed a dual effect on the coagulation performance. For alkyl chitosan in the same substitution degree range, the longer carbon chain length was beneficial to improve the coagulability of chitosan (C18>C12). With the increase of the substitution degree of alkyl, the coagulability of alkyl chitosan increased first and then decreased. It shows that the high substitution degree leads to excessive hydrophobicity, which is not conducive to the contact between the material and the blood, but prolonging the coagulation time. When the substitution degree of octadecyl chitosan was 19.60%, it showed the best coagulation effect, and the coagulation time was shortened to 68 s. In the performance test of N-CS/PVA nanofibrous membranes, the fiber diameter of nanofibrous membranes gradually decreased from 273.76 nm to 237.83 nm. Low amount of N-CS had good micro-morphology and mechanical properties. However, the excessive amount of N-CS led to the beading problem of the nanofiber membrane, and the mechanical strength decreased to (2.81±0.57) MPa. When the content of N-CS was 20%, it had better overall performance. Among them, the water contact angle was 68.5°, and the dynamic blood contact angle was less than 90°, which was both hemophilic and moderately hydrophobic. At the same time, when pH=7, the membrane shows a positive charge, it can adsorb negatively charged coagulation factors and thus promote coagulation, and the coagulation time is shortened by 39.50% compared with that of medical gauze. And the cytotoxicity test showed that the cell proliferation rate was more than 90%, demonstrating good hemostatic performance and biosafety.
Conclusion A highly efficient hemostatic N-CS/PVA nanofiber membrane was successfully developed by combining the synergistic effects of alkyl chain length and degree of substitution with electrospinning. Octadecyl chitosan with a moderate degree of substitution can significantly shorten the blood clotting time. When the N-CS content is 20%, the fiber morphology and mechanical strength are well balanced. The hemostatic efficiency is significantly better than that of conventional gauze, and the material has high biosafety, thus is suitable for emergency treatment of complex wounds. Future work needs to further verify its clinical applicability and long-term stability, and explore the combination with other bioactive factors to enhance multifunctionality.

Key words: alkylated chitosan, modification, electrospinning, hemostatic property, biosafety, hemostatic dressing, polyvinyl alcohol, reductive amination

中图分类号: 

  • TS179

表1

烷基壳聚糖的C、N元素含量及取代度"

改性剂 样品名称 投料比 C含量/% N含量/% 取代度/%
十二醛 CS12a 1∶0.8 56.46 5.01 58.65
CS12b 1∶0.5 50.10 6.65 22.41
CS12c 1∶0.2 45.25 7.38 7.13
十八醛 CS18a 1∶0.8 53.93 4.62 53.06
CS18b 1∶0.5 51.24 6.21 19.60
CS18c 1∶0.2 48.37 7.65 6.25

图1

不同取代度下N-CS的红外光谱图"

图2

N-CS的水接触角"

图3

N-CS的全血凝固时间 注:*表示P<0.5。"

图4

不同N-CS含量的NCPs 纳米纤维膜表面形貌照片与直径分布图"

图5

NCPs 纳米纤维膜的断裂强度和断裂伸长率"

图6

NCPs纳米纤维膜的接触角"

图7

NCPs 纳米纤维膜在不同pH值下的Zeta电位"

图8

医用纱布与NCPs 纳米纤维膜的全血凝固时间 注:*表示P<0.05。"

表2

NCPs纳米纤维膜的细胞毒性测定结果"

样品名称 细胞相对增殖率/%
空白对照 100.00
NCP0 92.74
NCP1 94.06
NCP2 91.10
NCP3 95.60
NCP4 93.46

图9

活细胞及死细胞荧光图"

[1] ZHAO H Y, SI J Y, GUO H M, et al. Effect of hemocoagulase on the coagulation parameters, blood transfusion volume and bleeding volume of patients with severe traumatic fractures[J]. Signa Vitae, 2023: 104-108.
[2] HSU F Y, MAO S H, CHUANG A D, et al. Shock index as a predictor for angiographic hemostasis in life-threatening traumatic oronasal bleeding[J]. International Journal of Environmental Research and Public Health, 2021, 18(21): 11051.
doi: 10.3390/ijerph182111051
[3] MARSHALL C, JOSEPHSON C D, LEONARD J C, et al. Blood component ratios in children with non-traumatic life-threatening bleeding[J]. Vox Sanguinis, 2023, 118(1): 68-75.
doi: 10.1111/vox.v118.1
[4] 谭敦勇, 郭嘉炜, 邓志钦, 等. 壳聚糖敷料促进创面愈合的研究进展[J]. 生物骨科材料与临床研究, 2025, 22(1): 70-75, 81.
TAN Dunyong, GUO Jiawei, DENG Zhiqin, et al. Research progress on chitosan dressings to promote wound healing[J]. Orthopaedic Biomechanics Materials and Clinical Study, 2025, 22(1): 70-75, 81.
[5] DOWLING M B, KUMAR R, KEIBLER M A, et al. A self-assembling hydrophobically modified chitosan capable of reversible hemostatic action[J]. Biomaterials, 2011, 32(13): 3351-3357.
doi: 10.1016/j.biomaterials.2010.12.033 pmid: 21296412
[6] 韩肖惠, 杜晶晶, 王博, 等. 烷基化壳聚糖及衍生物的表面性能[J]. 化学研究, 2019, 30(4): 359-364.
HAN Xiaohui, DU Jingjing, WANG Bo, et al. Surface activity of alkylation chitosan and its derivatives[J]. Chemical Research, 2019, 30(4): 359-364.
[7] LIU T, LIU S H, SHI Y H, et al. Electrospun nanofiber membranes for rapid liver hemostasis via N-alkylated chitosan doped chitosan/PEO[J]. International Journal of Biological Macromolecules, 2024, 258: 128948.
doi: 10.1016/j.ijbiomac.2023.128948
[8] 王晓燕, 庄旭品, 关静. N-烷基壳聚糖纤维的制备与凝血性能研究[J]. 化工新型材料, 2019, 47(1): 152-155, 165.
WANG Xiaoyan, ZHUANG Xupin, GUAN Jing. Preparation and coagulation of N-alkyl chitosan fiber[J]. New Chemical Materials, 2019, 47(1): 152-155, 165.
[9] 宋路平, 闵尔君, 王英沣, 等. 静电纺PVDF/PAN/左氧氟沙星复合纤维膜的制备及性能[J]. 工程塑料应用, 2023, 51(1): 11-16.
SONG Luping, MIN Erjun, WANG Yingfeng, et al. Preparation and properties of PVDF/PAN/levofloxacin wound dressing based on electrospinning[J]. Engineering Plastics Application, 2023, 51(1): 11-16.
[10] ZHANG J S, LI Y G, WU H W, et al. Thermally treated berberine-loaded SA/PVA/PEO electrospun microfiber membranes for antibacterial wound dressings[J]. Polymers, 2022, 14(21): 4473.
doi: 10.3390/polym14214473
[11] 施静雅, 王慧佳, 易雨青, 等. 聚氨酯/聚乙烯醇缩丁醛复合纳米纤维膜的制备及其过滤性能[J]. 纺织学报, 2023, 44(8): 26-33.
SHI Jingya, WANG Huijia, YI Yuqing, et al. Preparation and filtration of polyurethane/polyvinyl butyral composite nanofiber membrane[J]. Journal of Textile Research, 2023, 44(8): 26-33.
[12] 荆妙蕾, 杨冰杰, 周捷, 等. 交联改性对静电纺乌拉草提取液/聚乙烯醇纳米纤维膜性能的影响[J]. 高分子材料科学与工程, 2021, 37(6): 71-78.
JING Miaolei, YANG Bingjie, ZHOU Jie, et al. Effect of cross-linking modification on performance of electrostatic spinning carex meyeriana extract/polyvinyl alcohol nanofiber membranes[J]. Polymer Materials Science & Engineering, 2021, 37(6): 71-78.
[13] 雷彩虹, 俞林双, 金万慧, 等. 丝素蛋白/壳聚糖复合纤维膜的制备与应用[J]. 纺织学报, 2023, 44(11): 19-26.
doi: 10.13475/j.fzxb.20220606801
LEI Caihong, YU Linshuang, JIN Wanhui, et al. Preparation and application of silk fibroin/chitosan composite fiber membrane[J]. Journal of Textile Research, 2023, 44(11): 19-26.
doi: 10.13475/j.fzxb.20220606801
[14] CHEN X, YAN G L, CHEN M, et al. Alkylated chitosan-attapulgite composite sponge for rapid hemostasis[J]. Biomaterials Advances, 2023, 153: 213569.
doi: 10.1016/j.bioadv.2023.213569
[15] 唐若谷. N-烷基化疏水壳聚糖的合成与表征[J]. 科技资讯, 2018, 16(16): 74-77.
TANG Ruogu. Synthesis and characterization of N-alkylated hydrophobic chitosan[J]. Science & Technology Information, 2018, 16(16): 74-77.
[16] 刘允璞, 刘威, 王黎明, 等. 静电纺三维纳米纤维材料的制备方法与应用进展[J]. 纺织学报, 2024, 45(11): 226-234.
doi: 10.13475/j.fzxb.20231100902
LIU Yunpu, LIU Wei, WANG Liming, et al. Progress in preparation methods and applications of electrospun three-dimensional nanofiber materials[J]. Journal of Textile Research, 2024, 45(11): 226-234.
doi: 10.13475/j.fzxb.20231100902
[17] ALI S H, MAHAMMED M A, YASIN S A. Characterization of electrospinning chitosan nanofibers used for wound dressing[J]. Polymers, 2024, 16(14): 1984.
doi: 10.3390/polym16141984
[18] 彭锦豪, 包新军. 静电纺调温纳米纤维的结构及应用研究进展[J]. 上海纺织科技, 2024, 52(11): 1-8.
PENG Jinhao, BAO Xinjun. Research progress on the structure and application of electrospun temperature regulating nanofibers[J]. Shanghai Textile Science & Technology, 2024, 52(11): 1-8.
[19] WANG L J, LI C H, ZHANG J S, et al. The electrical conductivity and mechanical properties of monolayer and multilayer nanofibre membranes from different fillers: calculated based on parallel circuit[J]. Polymers, 2022, 14(22): 5048.
doi: 10.3390/polym14225048
[20] LIU S, LI W W, WANG X Y, et al. Permeable, stretchable, and recyclable cellulose aerogel on-skin electronics for dual-modal sensing and personal healthcare[J]. ACS Nano, 2025, 19(3): 3531-3548.
doi: 10.1021/acsnano.4c13458 pmid: 39801104
[21] ZHANG Z, ZHAO X Z, SONG Z Y, et al. Electrospun collagen/chitosan composite fibrous membranes for accelerating wound healing[J]. Biomedical Materials, 2024, 19(5): 055024.
doi: 10.1088/1748-605X/ad6545
[22] CHEN X, XU J, GAFUR A, et al. Preparation and characterization of chitosan/polyvinyl alcohol antibacterial sponge materials[J]. Biomedical Materials, 2024, 19(3): 035032.
doi: 10.1088/1748-605X/ad3c87
[23] CHEN L, PAN S W, WANG L, et al. Superhydrophobic cellulose nanofiber aerogels for efficient hemostasis with minimal blood loss[J]. ACS Applied Materials & Interfaces, 2024, 16(36): 47294-47302.
[24] ZHANG Y, GUAN J, WU J M, et al. N-alkylated chitosan/graphene oxide porous sponge for rapid and effective hemostasis in emergency situations[J]. Carbohydrate Polymers, 2019, 219: 405-413.
doi: S0144-8617(19)30533-8 pmid: 31151541
[25] 赵继升, 刘红, 王航, 等. 人机交互用纺织基离子皮肤的制备及性能研究[J]. 丝绸, 2024, 61(12): 96-103.
ZHAO Jisheng, LIU Hong, WANG Hang, et al. Research on the preparation and performance of fabric-based ionic skin for human-machine interaction[J]. Journal of Silk, 2024, 61(12): 96-103.
[26] HUANG Z H, ZHANG D, TONG L Q, et al. Protonated-chitosan sponge with procoagulation activity for hemostasis in coagulopathy[J]. Bioactive Materials, 2024, 41: 174-192.
doi: 10.1016/j.bioactmat.2024.07.012 pmid: 39131629
[27] 韩华, 胡安然, 孙艺文, 等. 碘释放抗菌涂层棉织物的制备及其在伤口修复中的应用[J]. 纺织学报, 2024, 45(5): 113-120.
HAN Hua, HU Anran, SUN Yiwen, et al. Fabrication of antibacterial polymers coated cotton fabrics with I2 release for wound healing[J]. Journal of Textile Research, 2024, 45(5): 113-120.
[1] 袁颖, 滕凤冬, 曹煜彤, 于俊荣, 李娜, 胡祖明, 王彦. 高模量对位芳纶研究进展[J]. 纺织学报, 2025, 46(11): 238-246.
[2] 王学林, 胡万锦, 周思婕, 杜立新, 夏良君, 徐卫林. 莱赛尔纤维及其制品颜色构建技术的研究进展[J]. 纺织学报, 2025, 46(11): 247-254.
[3] 舒祖菊, 袁自钰, 周斐, 黄秀文, 王权, 房显龙, 曹美雪. 载姜黄素核壳结构纳米纤维膜的制备及其缓释性能[J]. 纺织学报, 2025, 46(11): 26-33.
[4] 刘飞, 刘璐, 郑智超, 刘俊宏, 吴德群, 蒋秋冉. 自黏型玉米醇溶蛋白基超细纤维膜的制备及其性能[J]. 纺织学报, 2025, 46(11): 34-42.
[5] 张佃平, 陈琪, 徐登明, 王祚, 王昊. CuO 纳米纤维的制备及其在无酶葡萄糖传感器中的性能[J]. 纺织学报, 2025, 46(11): 61-68.
[6] 李健阁, 吴伟, 韩伟鹏, 纪柏林, 徐红, 毛志平. 乙烯砜醋酸酯活性分散染料的合成及其对锦纶66的染色应用[J]. 纺织学报, 2025, 46(10): 143-151.
[7] 吴乐然, 吴霓欢, 李林耿, 钟意, 陈鸿鹏, 汤南. 负载厚朴酚的抗菌纳米纤维膜的制备及其性能[J]. 纺织学报, 2025, 46(10): 30-38.
[8] 毛泽, 高俊, 凌磊, 武丁胜, 陶云, 张春, 李申, 凤权. 聚丙烯腈/聚吡咯纳米纤维膜的制备及其对铬离子的吸附性能[J]. 纺织学报, 2025, 46(09): 57-65.
[9] 史蜜, 王文聪, 范雪荣, 高卫东. 聚乙烯醇聚合度和醇解度对棉浆纱性能的影响[J]. 纺织学报, 2025, 46(09): 181-187.
[10] 刘美, 崔丽娜, 关福旺, 李甫, 费鹏飞, 马驰, 王华平. 一次性卫生用竹浆纤维水刺非织造材料的疏水改性及其性能[J]. 纺织学报, 2025, 46(09): 188-196.
[11] 高闻语, 陈诚, 奚晓玮, 邓林红, 刘杨. 改性丝素蛋白纤维增强胶原基角膜修复材料的制备及其性能[J]. 纺织学报, 2025, 46(08): 1-9.
[12] 梁锋, 方沿, 张伟华, 唐余玲, 李双洋, 周建飞, 石碧. 基于金属-多酚网络的胶原蛋白基纤维制备及其力学性能[J]. 纺织学报, 2025, 46(08): 10-17.
[13] 沈忱思, 王欣悦, 李方. 退浆废水预氧化-絮凝一体化处理及资源化技术[J]. 纺织学报, 2025, 46(08): 173-182.
[14] 刘旭东, 宋政吉, 陈世昌, 陈文兴. 改性环氧树脂涂覆聚酰亚胺纤维的表面性能[J]. 纺织学报, 2025, 46(08): 18-27.
[15] 刘健, 潘山山, 刘泳汝, 尹兆松, 任康佳, 赵庆浩. 多尖端锯齿状静电纺丝喷头的设计及优化[J]. 纺织学报, 2025, 46(08): 217-225.
Viewed
Full text


Abstract

Cited

  Shared   
  Discussed   
No Suggested Reading articles found!