Journal of Textile Research ›› 2022, Vol. 43 ›› Issue (06): 1-8.doi: 10.13475/j.fzxb.20220104008

• Manufacture and Application of High Performance Flexible Textile Composites •     Next Articles

Photo oxidative aging behavior and evaluation of polyvinyl chloride membrane structural composites

GUO Shanshan1, HAO Enquan2, LI Hongjie2, WANG Linlin1, JIANG Jinhua1(), CHEN Nanliang1   

  1. 1. Engineering Research Center of Technical Textiles, Ministry of Education, Donghua University,Shanghai 201620, China
    2. Zhejiang MSD Group Share Co., Ltd., Jiaxing, Zhejiang 314400, China
  • Received:2022-01-17 Revised:2022-03-28 Online:2022-06-15 Published:2022-07-15
  • Contact: JIANG Jinhua E-mail:jiangjinhua@dhu.edu.cn

Abstract:

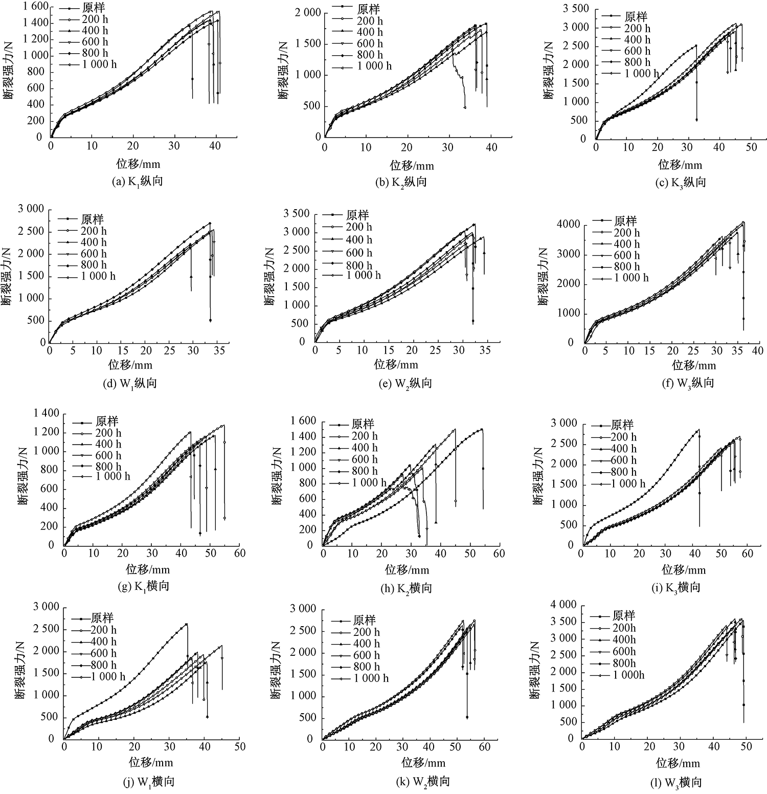
In order to investigate the different photo-oxygen aging behavior of membrane coated warp knitted and woven structure composites, accelerated aging behavior of polyester warp knitted and woven fabric reinforced polyvinyl chloride (PVC) membrane composites was studied under ultraviolet irradiation. Six types of fabrics were selected for making the composites, and the aging was characterized by the mechanical properties of polyester yarn. The test results show that the coating membrane has a good protective effect on the yarns in the fabrics. The initial modulus of warp knitted fabric is higher than that of woven fabric, but the retention rate of breaking strength is lower. At the irradiation energy of 82.08×103 kJ/m2, the fracture strength retention rate of the single-face warp-knitted membrane structural composite with both 24 course and wale densities is only 62.4%, and the coating of the single-face membrane structural material is no longer effective in protecting the substrate fabric with the coating membrane granulized and clustered. However, the retention rates of breaking strength of the five double-faced samples are all above 85%. Within the irradiation energy range, the coated surface becomes rough, with few grooves appearing, demonstrating good anti-photo oxygen aging performance.

Key words: polyvinyl chloride membrane, composite, oxidative aging, ultraviolet irradiation energy, breaking strength, carbonyl index

CLC Number: 

  • TS186

Tab.1

Specifications of samples"

试样
编号
针织物密度 机织物密度 复合材料
横密 纵密 经向 纬向 厚度/
mm
面密度/
(g·m-2)
K1 18 18 0.41 365.10
K2 24 24 0.36 436.53
K3 36 36 0.51 651.16
W1 72 72 0.50 635.73
W2 90 90 0.64 812.16
W3 118 118 0.75 931.50

Tab.2

Irradiation energy of samples at different time"

老化时
间/h
辐射强度/
(W·m-2)
累积辐射能/
(103 kJ·m-2)
0 0.0 0.00
200 5.3 16.26
400 5.2 32.18
600 5.3 49.25
800 5.4 65.34
1 000 5.2 82.08

Fig.1

Surface SEM images of K1 and W1 and samples after 1 000 h photo-oxygen aging treatment.(a) K1 original surface(×500);(b) K1 surface after 1 000 h(×1 000);(c) K2 surface after 1 000 h(×1 000);(d) K3 surface after 1 000 h (×500);(e) W1 original surface(×300);(f) W1 surface after 1 000 h(×200);(g) W2 surface after 1 000 h(×500);(h) W3 surface after 1 000 h(×500)"

Fig.2

Section SEM images of K1, K2 and W1 and samples after 1 000 h photo-oxygen aging treatment. (a) K1 original section(×300); (b) K1 section after 1 000 h(×300);(c) K2 original section(×20);(d) K3 section after 1 000 h(×300);(e) W1 original section(×300);(f) W1 section after 1 000 h (×300);(g) W2 section after 1 000 h (×400);(h) W3 section after 1 000 h(×400)"

Fig.3

Infrared spectra of 6 samples after 1 000 h photo-oxygen aging treatment"

Fig.4

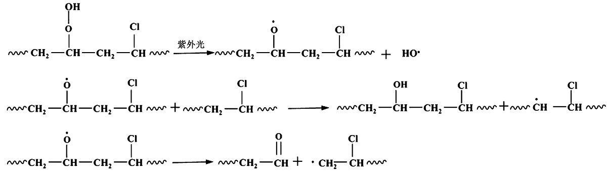
Molecular formula of PVC and its changes under photo-oxygen aging condition"

Fig.5

FT-IR spectra of carbonyl peak segment of 6 samples after photo-oxygen aging 1 000 h"

Fig.6

Curve of carbonyl index and irradiation energy"

Fig.7

Stress-strain curve of polyester yarn before and after aging"

Fig.8

Stress-strain curves of longitudinal of K1(a), K2(b), K3(c), W1(d), W2(e) and W3(f) and transverse of K1(g), K2(h), K3(i), W1(j), W2(k) and W3(l) before and after photo-oxygen aging"

[1] YANG Xudong, XU Xiaowei, YAN Yongsheng, et al. Photo-oxidation of PVC-coated membrane material under different light sources[J]. Asian Journal of Chemistry, 2014, 26(17): 5777-5782.
doi: 10.14233/ajchem.2014.18204
[2] VAIDA D, MILDA J, RAIMONDAS B, et al. Investigation of some weathering impacts on tearing properties of PVC-coated fabrics used for architectural purposes[J]. Journal of Industrial Textiles, 2020. DOI: 10.1177/152808372098238.
doi: 10.1177/152808372098238
[3] TOOMA M, NAJIM T, ALSALHY Q. Modification of polyvinyl chloride (PVC) membrane for vacuum membrane distillation (VMD) application[J]. Desalination, 2015, 373: 58-70.
doi: 10.1016/j.desal.2015.07.008
[4] BENAVIDES R, CASTILLO B M, CASTANEDA A O, et al. Different thermo-oxidative degradation routes in poly(vinyl chloride)[J]. Polymer Degradation and Stability, 2001, 73:417-423.
doi: 10.1016/S0141-3910(01)00122-7
[5] MARQUIONI M, SUBURO A. Photo-damage, photo-protection and agerelated macular degeneration[J]. Photochemical & Photobiological Sciences, 2015, 14: 1560-1577.
[6] XU Q, LI F, MU W, et al. Effect of hygrothermal and alternating load coupled aging on CFRP/Al bonded joints[J]. International Journal of Adhesion and Adhesives, 2021, 109: 102912.
doi: 10.1016/j.ijadhadh.2021.102912
[7] EYUPOGLU C, EYUPOGLU S, MERDAN N. A multilayer perceptron artificial neural network model for estimation of ultraviolet protection properties of polyester microfiber fabric[J]. The Journal of The Textile Institute, 2021, 112(9): 1403-1416.
doi: 10.1080/00405000.2020.1819000
[8] MAZZON G, CONTARDI M, QUILEZ-MOLINA A, et al. Antioxidant and hydrophobic cotton fabric resisting accelerated ageing[J]. Colloids and Surfaces A: Physicochemical and Engineering Aspects, 2021, 613: 126061.
doi: 10.1016/j.colsurfa.2020.126061
[9] KŁOSOWSKI P, ZERDZICKI K, WOZNICA K. Artificial thermal ageing of polyester reinforced and polyvinyl chloride coated technical fabric[J]. Journal of Visualized Experiments, 2020(155): 60737.
[10] 徐晓伟, 杨旭东, 胡淳. 聚氯乙烯膜材料的人工加速老化性能[J]. 纺织学报, 2014, 35(10):24-29.
XU Xiaowei, YANG Xudong, HU Chun. Artificial accelerated aging properties of polyvinyl chloride coating membrane material[J]. Journal of Textile Research, 2014, 35(10):24-29.
[11] BYUN J, WANG Yiqi, KWAN L, et al. Stitching effect on flexural and inter laminar properties of MWK textile composites[J]. Composites Research, 2015, 28(3): 136-141.
doi: 10.7234/composres.2015.28.3.136
[12] WAN Yumin, ZHANG Fa, GU Bohong, et al. Predicting dynamic in-plane compressive properties of multi-axial multi-layer warp-knitted composites with a meso-model[J]. Composites Part B: Engineering, 2015, 77: 278-290.
doi: 10.1016/j.compositesb.2015.03.060
[13] LI Diansen, JIANG Nan, JIANG Lei, et al. Experimental study on the bending properties and failure mechanism of 3D multi-axial warp knitted composites at room and liquid nitrogen temperatures[J]. Journal of Composite Materials, 2016, 50(4): 557-571.
doi: 10.1177/0021998315579299
[14] KOERNER G, KOERNER Y, HSUAN Y. The durability of geosynthetics[M]. Cambridge: Woodhead Publishing, 2007:36-65.
[15] 赵兴民, 赵建平, 燕集中. 高密度聚乙烯管材光氧老化性能及寿命预测[J]. 中国塑料, 2021, 35(6):33-39.
doi: 10.19491/j.issn.1001-9278.2021.06.006
ZHAO Xingmin, ZHAO Jianping, YAN Jizhong. Photo-oxidation aging performance and life prediction for high-density polyethylene pipe[J]. China Plastics, 2021, 35(6):33-39.
doi: 10.19491/j.issn.1001-9278.2021.06.006
[16] MIHAI B, CORNELIA V, SMARANDA R, et al. Study of the natural ageing of PVC insulation for electrical cables[J]. Polymer Degradation and Stability, 2000, 67: 209-221.
doi: 10.1016/S0141-3910(99)00114-7
[17] ARNOLD J C, MAUND B. The properties of recycled PVC bottle compounds: Ⅱ: reprocessing stability[J]. Polymer Engineering and Science, 1999, 39: 1242-1250.
[18] ZERDZICKI K, KLOSOWSKI P, WOZNICA K. Influence of service ageing on polyester-reinforced polyvinyl chloride-coated fabrics reported through mathematical material models[J]. Textile Research Journal, 2019, 89(8): 1472-1487.
doi: 10.1177/0040517518773374
[19] 黄文捷, 黄雨林. 高分子材料老化试验方法简介[J]. 研究与开发, 2009(9): 71-80.
HUANG Wenjie, HUANG Yulin. Introduction of polymer material aging test[J]. Research and Development, 2009(9): 71-80.
[1] GONG Xuebin, LIU Yuanjun, ZHAO Xiaoming. Research progress of aerogel materials for thermal protection [J]. Journal of Textile Research, 2022, 43(06): 187-196.
[2] HUANG Yaoli, LU Cheng, JIANG Jinhua, CHEN Nanliang, SHAO Huiqi. Thermal mechanical properties of polyimide fiber-reinforced polydimethylsiloxane flexible film [J]. Journal of Textile Research, 2022, 43(06): 22-28.
[3] QU Yun, MA Wei, LIU Ying, REN Xuehong. Antibacterial fiber membrane with photodegradation function based on polyhydroxybutyrate/polycaprolactone [J]. Journal of Textile Research, 2022, 43(06): 29-36.
[4] CHEN Feng, JI Zhongli, YU Wenhan, DONG Wuqiang, WANG Qianlin, WANG Deguo. Influence of nanofiber membrane wettability on gas-liquid filtration performance of sandwiched composite filters [J]. Journal of Textile Research, 2022, 43(05): 63-69.
[5] SHAO Lingda, HUANG Jinbo, JIN Xiaoke, TIAN Wei, ZHU Chengyan. Effect of silane coupling agent modification on properties of glass fiber fabric reinforced polyphenylene sulfide composites [J]. Journal of Textile Research, 2022, 43(04): 68-73.
[6] LU Qianqian, TANG Junxiong, LIU Yuanjun, ZHAO Xiaoming. Research progress in preparation of carbon nanotubes based wave absorbing composites and its applications in textile field [J]. Journal of Textile Research, 2022, 43(04): 187-193.
[7] YE Wei, YU Jin, LONG Xiaoyun, SUN Qilong, MA Yan. Electromagnetic wave absorption performance of loofah-based carbon materials [J]. Journal of Textile Research, 2022, 43(04): 33-39.
[8] XIE Kaifang, LUO Fengxiang, BAO Xinjun, ZHOU Hengshu, XU Guangbiao. Preparation and performance of composite coated polyester harness cord with high wearability [J]. Journal of Textile Research, 2022, 43(03): 123-131.
[9] ZHANG Tao, WANG Fuping, CHEN Guobao, WU Jiyu, PANG Yani, CHEN Zhongmin. Preparation and performance of chitosan-based antibacterial gel [J]. Journal of Textile Research, 2022, 43(03): 71-77.
[10] GU Yuanhui, ZHOU Hongtao, ZHANG Diantang, LIU Jingyan, WANG Shudong. Torsional mechanical properties and failure mechanism of braided carbon fiber reinforced composite tubes [J]. Journal of Textile Research, 2022, 43(03): 95-102.
[11] GUO Zijiao, LI Yue, ZHANG Rui, LU Zan. Preparation and properties of polyaniline/Ti3C2Tx/carbon nanotube composite fiber-based electrodes [J]. Journal of Textile Research, 2022, 43(02): 74-80.
[12] LI Zhenzhen, ZHI Chao, YU Lingjie, ZHU Hai, DU Mingjuan. Preparation and properties of waste cotton regenerative aerogel/warp-knitted spacer fabric composites [J]. Journal of Textile Research, 2022, 43(01): 167-171.
[13] QIANG Rong, FENG Shuaibo, LI Wanying, YIN Linzhi, MA Qian, CHEN Bowen, CHEN Yi. Biomass-derived magnetic carbon composites towards microwave absorption [J]. Journal of Textile Research, 2022, 43(01): 21-27.
[14] LÜ Lihua, LI Zhen, ZHANG Duoduo. Preparation and properties of sound absorbing composites based on use of waste straw/polycaprolactone [J]. Journal of Textile Research, 2022, 43(01): 28-35.
[15] LI Bo, FAN Wei, GAO Xingzhong, WANG Shujuan, LI Zhihu. Carbon fiber reinforced epoxy based vitrimer composite material closed-loop recycling [J]. Journal of Textile Research, 2022, 43(01): 15-20.
Viewed
Full text


Abstract

Cited

  Shared   
  Discussed   
No Suggested Reading articles found!