Journal of Textile Research ›› 2021, Vol. 42 ›› Issue (11): 77-83.doi: 10.13475/j.fzxb.20210107907

• Textile Engineering • Previous Articles     Next Articles

Preparation and sound insulation performance of polyester fabric/polyvinyl chloride-hollow glass microspheres composites

PU Dandan1,2, FU Yaqin1()   

  1. 1. School of Materials Science and Engineering, Zhejiang Sci-Tech University, Hangzhou, Zhejiang 310018, China
    2. School of Textiles, Henan University of Engineering, Zhengzhou, Henan 450007, China
  • Received:2021-01-28 Revised:2021-07-27 Online:2021-11-15 Published:2021-11-29
  • Contact: FU Yaqin E-mail:fyq01@zstu.edu.cn

Abstract:

In order to prepare a light sound insulation composite, polyester fabric/polyvinyl chloride (PVC)-hollow glass microspheres (HGM) composites were prepared by contact molding technology with polyvinyl chloride as matrix materials, hollow microspheres as matrix filling materials, tributyl citrate as plasticizers, polyester fabric as reinforcement materials, and self-made silica/tributyl citrate sizing agent as interface optimization agents. The sound insulation performance of the composites was tested by using a double-channel acoustic tester. The results show that the mass of the composites decreases linearly with the increase of HGM volume fraction for the same thickness of polyester/PVC-HGM composites. The increase of HGM volume fraction did not significantly improve the sound insulation performance of polyester fabric/PVC-HGM composite.With the increase of HGM particle size, the sound insulation performance of polyester fabric/PVC-HGM composites with the same volume fraction of HGM was significantly improved.

Key words: hollow glass microsphere, polyvinyl chloride, polyester fabric, composite, sound insulation performance

CLC Number: 

  • TS101.8

Fig.1

Measurement system of sound insulation"

Fig.2

FESEM images of HGM with different particular sizes"

Fig.3

FESEM imagines of polyester fabric/PVC-HGM composites for different volume fraction of HGM"

Fig.4

Sound insulation property of polyester fabric/PVC-HGM composites for different volume fraction of HGM"

Tab.1

Areal density and thickness of polyester fabric/PVC-HGM composites"

HGM的体积分数/% 面密度/(kg·m-2) 厚度/mm
0 1.816±0.069 1.61±0.01
10 1.677±0.073 1.61±0.01
20 1.555±0.068 1.60±0.02
30 1.413±0.064 1.62±0.02

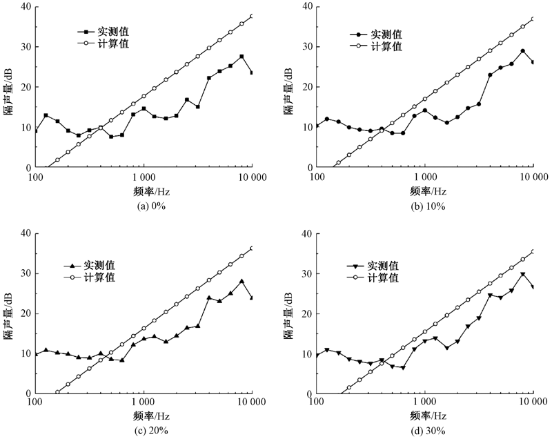
Fig.5

Measured and calculated values of sound insulation of polyester fabric/PVC-HGM composites for different volume fraction of HGM"

Fig.6

Sound insulation performance of polyester fabric/PVC-HGM composites for different partical size of HGM"

Fig.7

Schematic of sound wave transmition through composites"

[1] YU T M, JIANG F C, CUI X, et al. Properties and mechanism of a novel metallic-hollow-spheres/polyurethane acoustic composite[J]. Journal of Applied Polymer Science, 2020.DOI: 10.1002/app.49891.
[2] 施雪军, 周兴平, 解孝林. 环氧树脂复合材料的制备及隔声性能[J]. 高分子材料科学与工程, 2019, 35(12):106-112.
SHI Xuejun, ZHOU Xingping, XIE Xiaolin. Preparation and sound insulation properties of epoxy composites[J]. Polymer Materials Science and Engineering, 2019, 35(12):106-112.
[3] FANG W, FEI Y P, LU H Q, et al. Enhanced sound insulation and mechanical properties based on inorganic fillers/thermoplastic elastomer composites[J]. Journal of Thermoplastic Composite Materials, 2019, 32(7):936-950.
doi: 10.1177/0892705718766382
[4] 张春春, 巩继贤, 范晓丹, 等. 柔性吸声隔音降噪纺织复合材料[J]. 复合材料学报, 2018, 35(8):1983-1993.
ZHANG Chunchun, GONG Jixian, FANG Xiaodan, et al. Sound-absorbing and sound insulation soft composite materials of textile for noise reduction[J]. Acta Materiae Compositae Sinica, 2018, 35(8):1983-1993.
[5] 吕丽华, 毕吉红, 于翔. 废弃纤维吸声复合材料的制备及其吸声性能[J]. 纺织学报, 2016, 37(2):39-43.
LÜ Lihua, BI Jihong, YU Xiang. Sound insulation properties of waste polyester fabric/chlorinated polyethylene composites[J]. Journal of Textile Research, 2016, 37(2):39-43.
[6] 杨天兵, 傅雅琴. 蜂窝织物增强聚氯乙烯复合材料的隔音性能[J]. 纺织学报, 2011, 32(6):65-70.
YANG Tianbing, FU Yaqin. Sound insulation of the honeycomb weave fabric strengthen polyvinyl chloride composites[J]. Journal of Textile Research, 2011, 32(6):65-70.
[7] ZHAO H, LIU Y, WEN J, et al. Dynamics and sound attenuation in viscoelastic polymer containing hollow glass microspheres[J]. Journal of Applied Physics, 2007, 101(12):123581.
[8] LIANG J Z, ZHU B. Estimation of sound transmission loss of polymer/hollow microsphere composites[J]. Journal of Composite Materials, 2016, 50(15):2137-2142.
doi: 10.1177/0021998315602943
[9] ZHANG Z J, JIANG H, LI R, et al. High-damping polyurethane/hollow glass microspheres sound insulation materials: preparation and characterization[J]. Journal of Applied Polymer Science, 2021.DOI: 10.1002/app.49970.
[10] 普丹丹, 王瑞, 董余兵, 等. 表面改性处理对涤纶织物/聚氯乙烯复合材料界面性能的影响[J]. 纺织学报, 2017, 38(8):102-107.
PU Dandan, WANG Rui, DONG Yubing, et al. Influence of surface modification on interfacial properties of polyester fabric/PVC composites[J]. Journal of Textile Research, 2017, 38(8):102-105.
[11] 侯兆平, 莫天石, 付年, 等. 车用声学材料隔声性能测试方法研究[J]. 汽车科技, 2019(5):55-58, 54.
HOU Zhaoping, MO Tianshi, FU Nian, et al. The Research on test method of sound insulation performance for acoustic materials of vehicles[J]. Automobile Science and Technology, 2019(5):55-58, 54.
[12] PU Dandan, LIU Fuyao, DONG Yubing, et al. Interfacial adhesion and mechanical properties of PET fabric/PVC composites enhanced by SiO2/tributyl citrate hybrid sizing[J]. Nanomaterials, 2018, 8(11).DOI: 10.3390/nano8110898.
[13] 傅雅琴, 倪庆清, 姚跃飞, 等. 玻璃纤维织物/聚氯乙烯复合材料隔声性能[J]. 复合材料学报, 2005, 22(5):94-99.
FU Yaqin, NI Qingqing, YAO Yuefei, et al. Sound insulation performance of a glass fabric /PVC composite material[J]. Acta Materiae Compositae Sinica, 2005, 22(5):94-99.
[14] KRISHNASWAMY M, MCMULLIN J N, KEYWORTH B P, et al. Formation of hollow glass microcylinders on silicon[J]. Electronics Letters, 2002, 32(22):2074-2076.
doi: 10.1049/el:19961398
[15] GELEIL A, HALL M, SHELBY J. Hollow glass microspheres for use in radiation shielding[J]. Journal of Non-Crystalline Solids, 2006, 352(6):620-625.
doi: 10.1016/j.jnoncrysol.2005.11.049
[16] QIAO Y, WANG X, ZHANG X, et al. Thermal conductivity and compressive properties of hollow glass microsphere filled epoxy-matrix composites[J]. Journal of Reinforced Plastics and Composites, 2015, 34(17):1413-1421.
doi: 10.1177/0731684415592172
[17] LIU X, WANG G, PEI J, et al. Fabrication and mechanical properties of a novel epoxy-hollow glass microsphere composite[J]. Journal of Composite Materials, 2017, 52(12):1627-1632.
doi: 10.1177/0021998317730895
[18] BAIRD A M, KERR F H, TOWNEND D J. Wave propagation in a viscoelastic medium containing fluid-filled microspheres[J]. Acoustical Society of America Journal, 1999, 105(3):1527-1538.
doi: 10.1121/1.426692
[1] LI Zhenzhen, ZHI Chao, YU Lingjie, ZHU Hai, DU Mingjuan. Preparation and properties of waste cotton regenerative aerogel/warp-knitted spacer fabric composites [J]. Journal of Textile Research, 2022, 43(01): 167-171.
[2] QIANG Rong, FENG Shuaibo, LI Wanying, YIN Linzhi, MA Qian, CHEN Bowen, CHEN Yi. Biomass-derived magnetic carbon composites towards microwave absorption [J]. Journal of Textile Research, 2022, 43(01): 21-27.
[3] LÜ Lihua, LI Zhen, ZHANG Duoduo. Preparation and properties of sound absorbing composites based on use of waste straw/polycaprolactone [J]. Journal of Textile Research, 2022, 43(01): 28-35.
[4] LI Bo, FAN Wei, GAO Xingzhong, WANG Shujuan, LI Zhihu. Carbon fiber reinforced epoxy based vitrimer composite material closed-loop recycling [J]. Journal of Textile Research, 2022, 43(01): 15-20.
[5] FANG Yinchun, SUN Weihao. Research progress in flame retardant cellulose aerogel [J]. Journal of Textile Research, 2022, 43(01): 43-48.
[6] GAO Qiang, WANG Xiao, GUO Yajie, CHEN Ru, WEI Ju. Preparation and performance of cotton based Ti3C2Tx oil-water separation membrane [J]. Journal of Textile Research, 2022, 43(01): 172-177.
[7] YUAN Qiong, QIU Haipeng, XIE Weijie, WANG Ling, WANG Xiaomeng, ZHANG Diantang, QIAN Kun. Mechanical properties and damage mechanism of three-dimensional six-directional braided SiCf/SiC composites [J]. Journal of Textile Research, 2021, 42(12): 81-89.
[8] CHEN Hainiao, TIAN Wei, JIN Xiaoke, ZHANG Hongxia, LI Yanqing, ZHU Chengyan. Analysis on cross-sectional structure of moso bamboo using three-dimensional microscope imaging [J]. Journal of Textile Research, 2021, 42(12): 49-54.
[9] ZHU Lanfang, BAI Jie, ZHOU Yincheng, HOU Chengwei. Effect of ultrasonic treatment on 4,4'-diaminodiphenylmethane in polyurethane coating of polyester fabric [J]. Journal of Textile Research, 2021, 42(11): 124-128.
[10] WEI Xiaoling, LI Ruixue, QIN Zhuo, HU Xinrong, LIN Fusheng, LIU Lingshan, GONG Xiaozhou. Key technologies for formation of warp T-shape preforms [J]. Journal of Textile Research, 2021, 42(11): 51-55.
[11] SONG Xueyang, ZHANG Yan, XU Chenggong, WANG Ping, RUAN Fangtao. Mechanical properties of carbon fiber/polypropylene/polylactic acid reinforced composites [J]. Journal of Textile Research, 2021, 42(11): 84-88.
[12] WEI Fayun, YANG Fan, WANG Hailou, YU Bin, ZOU Xueshu, ZHANG Wei. Preparation and mechanical properties of cementitious composites reinforced by modified polyvinyl alcohol fiber [J]. Journal of Textile Research, 2021, 42(10): 53-60.
[13] YU Zhicai, LIU Jinru, HE Hualing, MA Shengnan, JIANG Huiyu. Research and application progress in fire retardant fabric based on polymeric hydrogel [J]. Journal of Textile Research, 2021, 42(09): 180-186.
[14] CAO Yuanming, ZHENG Mi, LI Yifei, ZHAI Wangyi, LI Liyan, CHANG Zhuningzi, ZHENG Min. Preparation of MoS2/polyurethane composite fibrous membranes and their photothermal conversion properties [J]. Journal of Textile Research, 2021, 42(09): 46-51.
[15] WAN Zhenkai, JIA Minrui, BAO Weichen. Optimal configuration of embedded position and number of carbon nanotube yarns in 3-D braided composites [J]. Journal of Textile Research, 2021, 42(09): 76-82.
Viewed
Full text


Abstract

Cited

  Shared   
  Discussed   
[1] . [J]. JOURNAL OF TEXTILE RESEARCH, 2003, 24(06): 35 -36 .
[2] . [J]. JOURNAL OF TEXTILE RESEARCH, 2003, 24(06): 107 .
[3] . [J]. JOURNAL OF TEXTILE RESEARCH, 2003, 24(06): 109 -620 .
[4] . [J]. JOURNAL OF TEXTILE RESEARCH, 2004, 25(01): 1 -9 .
[5] . [J]. JOURNAL OF TEXTILE RESEARCH, 2004, 25(02): 105 -107 .
[6] . [J]. JOURNAL OF TEXTILE RESEARCH, 2004, 25(02): 108 -110 .
[7] . [J]. JOURNAL OF TEXTILE RESEARCH, 2004, 25(02): 111 -113 .
[8] PAN Xu-wei;GU Xin-jian;HAN Yong-sheng;CHENG Yao-dong. Research on quick response of apparel supply chain for collaboration[J]. JOURNAL OF TEXTILE RESEARCH, 2006, 27(1): 54 -57 .
[9] HUANG Xiao-hua;SHEN Ding-quan. Degumming and dyeing of pineapple leaf fiber[J]. JOURNAL OF TEXTILE RESEARCH, 2006, 27(1): 75 -77 .
[10] GU Da-qiang;NIE Lin. Reinforcement fabric knitting machine for plastic pressure hose[J]. JOURNAL OF TEXTILE RESEARCH, 2006, 27(1): 86 -88 .