Journal of Textile Research ›› 2022, Vol. 43 ›› Issue (02): 89-97.doi: 10.13475/j.fzxb.20210601309

• Textile Engineering • Previous Articles     Next Articles

Preparation of CuO/polypropylene/ethylene-octene copolymer composite melt-blown nonwovens and their oil absorption properties

ZHAO Jiaming1,2, SUN Hui1,2(), YU Bin1,2, YANG Xiaodong1,2   

  1. 1. College of Textile Science and Engineering (International Institute of Silk), Zhejiang Sci-Tech University, Hangzhou, Zhejiang 310018, China
    2. Zhejiang Provincial Key Laboratory of Preparation Technology of Industrial Textile Materials, Hangzhou, Zhejiang 310018, China
  • Received:2021-06-03 Revised:2021-11-22 Online:2022-02-15 Published:2022-03-15
  • Contact: SUN Hui E-mail:sunhui@zstu.edu.cn

Abstract:

In order to efficiently and economically deal with the pollution caused by oil leakage, the melt-blown nonwoven materials (MB) was prepared by the blending of polypropylene (PP) and ethylene-octene copolymer (POE). The surface of the composite melt-blown nonwoven material was loaded with nano-copper oxide (CuO) for hydrophobic modification. The morphology, structure, water contact angle, oil absorption and mechanical properties of the nonwovens before and after modification were tested. The results show that the deposition of nano CuO causes the crystallinity of CuO/PP/POE composites to decrease, but no significant change in the melting and crystallization temperatures. In addition the deposition of nano CuO resulted in about 1°decrease in the water contact angle, and the hydrophilicity increases slightly. Compared with the pure PP nonwovens, the oil absorption rate of the composite melt-blown nonwovens loaded with nano-CuO is improved. The oil absorption rate of melt-blown nonwovens with POE content of 15% is up to 9.22 g/g for machine oil and 9.4 g/g for silicone oil, and the longitudinal fracture strength is increased, but the elongation at break is decreased.

Key words: polypropylene, ethylene-octene copolymer, melt-blown nonwoven material, copper oxide, oil absorption efficiency, oil water treatment

CLC Number: 

  • TS176

Tab.1

Melt-blown nonwoven material composition table"

样品
编号
PP质量
分数/%
POE质量
分数/%
CuO占总质量
分数/%
1# 100 0
2# 90 10
3# 85 15
4# 80 20
5# 90 10 0.125
6# 85 15 0.125
7# 80 20 0.125

Tab.2

Melt-blown process parameters"

机头
温度/
螺杆
温度/
物料
温度/
热风
温度/
气道
压力/
MPa
熔喷
压力/
MPa
接收
距离/
cm
平台
速度/
(mm·s-1)
185 180~200 180 280 0.2 0.4 20 0.5

Fig.1

SEM images of pure PP, PP/POE and CuO/PP/POE melt-blown nonwovens"

Tab.3

Elements content of CuO/PP/POE composite melt-blown nonwovens"

样品编号 元素质量分数/%
C O Cu
5# 64.00 10.83 25.17
6# 71.90 8.23 19.86
7# 72.93 8.33 18.74

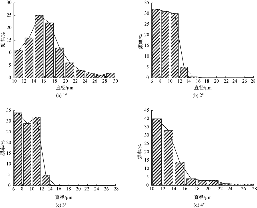
Fig.2

Pore size distribution of pure PP and PP/POE melt-blown nonwovens"

Tab.4

Average diameters of pure PP and PP/POE melt-blown nonwovensμm"

样品编号 平均直径
1# 5.86±0.13
2# 3.15±0.09
3# 3.06±0.12
4# 2.65±0.09

Fig.3

XRD patterns of pure PP, PP/POE and CuO/PP/POE melt-blown nonwovens"

Tab.5

Thermal properties of pure PP, PP/POE and CuO/PP/POE melt-blown nonwovens"

样品编号 Tc/℃ Tm/℃ Xcd/% Xcx/%
1# 111.98 156.45 41.99 43.16
2# 119.28 158.8 51.63 46.65
3# 124.24 159.63 45.44 55.88
4# 118.75 158.28 49.68 25.78
5# 118.14 157.19 41.93 44.38
6# 123.85 158.74 41.78 50.56
7# 119.85 157.9 43.11 23.51

Fig.4

Second heating(a) and first cooling(b) curves of pure PP, PP/POE, CuO/PP/POE melt-blown nonwovens"

Tab.6

Water contact angle of pure PP, PP/POE and CuO/PP/POE melt-blown nonwovens(°)"

样品编号 水接触角
1# 143.2±0.34
2# 145.2±0.13
3# 146.0±0.17
4# 145.3±0.21
5# 144.4±0.21
6# 145.3±0.19
7# 143.8±0.37

Fig.5

Repeated oil absorption curves of silicon oil(a) and machine oil(b) for pure PP, PP/POE and CuO/PP/POE melt-blown nonwovens"

Fig.6

Oil absorption mechanism of CuO/PP/POE melt-blown nonwovens"

Fig.7

Stress-strain curves of pure PP, PP/POE and CuO/PP/POE melt-blown nonwovens"

Tab.7

Mechanical property data of pure PP, PP/POE and CuO/PP/POE melt-blown nonwoven materials"

样品 断裂强力/N 断裂伸长率/%
1# 5.86±0.27 20.89±3.33
2# 8.86±0.89 24.83±5.48
3# 9.30±0.86 26.56±5.75
4# 6.17±0.54 29.22±3.64
5# 10.09±1.99 13.33±2.01
6# 10.19±0.37 18.57±4.66
7# 7.45±0.38 25.40±3.08
[1] LIU F, MA M L, ZANG D L, et al. Fabrication of superhydrophobic/superoleophilic cotton for application in the field of water/oil separation[J]. Carbohydrate Polymers, 2014:480-487.
[2] 陆平, 王晓丽, 彭士涛, 等. 高吸油材料的研究进展[J]. 现代化工, 2019, 39(4): 24-26.
LU Ping, WANG Xiaoli, PENG Shitao, et al. Research progress of high oil absorbent materials[J]. The Modern Chemical Industry, 2019, 39(4): 24-26.
[3] 杨双华, 邵高耸, 卢林刚. 常见吸油材料的研究进展及展望[J]. 应用化工, 2019, 48(4): 926-937.
YANG Shuanghua, SHAO Gaosong, LU Lingang, et al. Research progress and prospect of common oil absorbent materials[J]. Application of Chemical, 2019, 48(4): 926-937.
[4] ZHAO J, XIAO C F, XU N K. Evaluation of polypropylene and poly(butylmethacrylate-co-hydroxyethylmethacrylate)nonwoven material as oil absorbent[J]. Environmental Science and Pollution Research International, 2013, 20:4137-4145.
doi: 10.1007/s11356-012-1397-8
[5] BAIG N, SALEH T A. Photochemically produced superhydrophobic silane@polystyrene-coated polypropylene fibrous network for oil/water separation[J]. Chemistry, An Asian Journal, 2021, 16(4): 329-341.
doi: 10.1002/asia.v16.4
[6] LEE Y, KIM J, KIM D, et al. Effect of blend ratio of PP/kapok blend nonwoven fabrics on oil sorption capacity[J]. Environmental Technology, 2013, 34(24): 3169-3175.
doi: 10.1080/09593330.2013.808242
[7] BAIG N, SALEH T A. Superhydrophobic polypropylene functionalized with nanoparticles for efficient fast static and dynamic separation of spilled oil from water[J]. Global Challenges, 2019, 3(8): 1800115-1800124.
doi: 10.1002/gch2.v3.8
[8] 刘江, 余双平, 傅利玉, 等. DSC测定PP熔点过程中实验条件的优化[J]. 工程塑料应用, 2014, 24(1): 88-92.
LIU Jiang, YU Shuangping, FU Liyu, et al. Optimization of experimental conditions in the process of determining PP melting point by DSC[J]. Application of Engineering Plastics, 2014, 24(1): 88-92.
[9] 朱斐超, 于斌, 韩建, 等. 熔喷非织造用 PHBV/PLA 共混体系的结构与相容性[J]. 高分子材料科学与工程, 2014, 30(8): 81-84.
ZHU Feichao, YU Bin, HAN Jian, et al. Structure and compatibility of PHBV/PLA blend system for melt-blown nonwovens[J]. Polymer Materials Science and Engineering, 2014, 30(8): 81-84.
[10] 王钦, 封严, 赵东. 聚酯/锦纶6双组分纺粘水刺非织造布光接枝亲水亲油改性[J]. 纺织学报, 2015, 36(11): 99-102.
WANG Qin, FENG Yan, ZHAO Dong, et al. Hydrophilic and lipophilic modification of polyester/nylon 6 two-component spunbonded spunlaced nonwovens by grafting[J]. Journal of Textile Research, 2015, 36(11): 99-102.
doi: 10.1177/004051756603600201
[11] 徐家福, 杨雅光, 郭秉臣, 等. 熔喷法非织造布结构与性能分析[J]. 非织造布, 2005, 13(3): 35-39.
XU Jiafu, YANG Yaguang, GUO Bingchen, et al. Structure and property analysis of melt-blown nonwovens[J]. Nonwoven Fabric, 2015, 13(3): 35-39.
[12] 杨明涛. POE含量对PP/POE挤出发泡形态调控的影响[J]. 塑料, 2021, 50(4): 48-53.
YANG Mingtao. Effect of POE content on morphology regulation of PP/POE extrusion[J]. Plastic, 2021, 50(4): 48-53.
[13] PU Y, ZHENG J, CHEN F X, et al. Preparation of polypropylene micro and nanofibers by electrostatic-assisted melt blown and their application[J]. Polymers, 2018, 10(9): 959-970.
doi: 10.3390/polym10090959
[14] WANG X, HU S, GUO Y, et al. Toughened high-flow polypropylene with polyolefin-based elastomers[J]. Polymers, 2019, 11(12): 1976-1991.
doi: 10.3390/polym11121976
[15] YANG J M, GAO M Z, ZHAO H, et al. Space charge characteristics of polypropylene modified by rare earth nucleating agent for β crystallizatio[J]. Materials, 2019, 12(1): 42-54.
doi: 10.3390/ma12010042
[16] AMR F, SALEM S S, AHMED R W, et al. Optimization of green biosynthesized visible light active CuO/ZnO nano-photocatalysts for the degradation of organic methylene blue dye[J]. Heliyon, 2020, 6(9): 04896-04908.
[17] HE X, RYOLUOTO L, ANYSZKA R, et al. Surface modification of fumed silica by plasma polymerization of acetylene for PP/POE blends dielectric nanocomposites[J]. Polymers, 2019, 11(12): 1957-1978.
doi: 10.3390/polym11121957
[18] 刘艳军. PP/POE共混物的热性能和结晶行为研究[J]. 山西化工, 2019, 39(1): 1-3.
LIU Yanjun. Study on thermal properties and crystallization behavior of PP/POE blends[J]. Shanxi Chemical Industry, 2019, 39(1): 1-3.
[19] 王晓, 王辉, 许婷娟, 等. 热氧处理聚丙烯粉料的DSC曲线双峰研究[J]. 广东化工, 2014, 41(22): 1-2.
WANG Xiao, WANG Hui, XU Tingjuan, et al. Study on DSC bimodal curves of polypropylene powder treated by thermal oxygen[J]. Guangdong Chemical Industry, 2014, 41(22): 1-2.
[20] CHI X H, CHENG L, LIU W F, et al. Characterization of polypropylene modified by blending elastomer and nano-silica[J]. Materials, 2018, 11(8): 1321-1333.
doi: 10.3390/ma11081321
[21] WANG G X, LI S, FENG Y L, et al. Effectively toughening polypropylene with in situ formation of core-shell starch-based particles[J]. Carbohydrate Polymers, 2020, 249:116795-116801.
doi: 10.1016/j.carbpol.2020.116795
[22] LI C, REN L P, LIU X, et al. Superhydrophilic and underwater superoleophobic poly (propylene) nonwoven coated with TiO2 by atomic layer deposition[J]. Advanced Materials Interfaces, 2021, 8(1): 2001485.
doi: 10.1002/admi.v8.1
[23] 詹斌. 仿生超润湿表面的制备及其油水分离性能研究[D]. 长春: 吉林大学, 2021:24-26.
ZHAN Bin. Research on the preparation of bionic super-wetting surface and its oil-water separation perfor-mance[D]. Changchun: Jilin University, 2021: 24-26.
[24] HOU J, ZHAO G, ZHANG L, et al. High-expansion polypropylene foam prepared in non-crystalline state and oil adsorption performance of open-cell foam[J]. Journal of Colloid and Interface Science, 2019, 542:233-242.
doi: 10.1016/j.jcis.2019.02.028
[25] 尹朝清, 刘乐文, 张爽爽. 刚性粒子/POE对聚丙烯的协同增韧机制[J]. 塑料, 2019, 48(1): 53-57.
YIN Chaoqing, LIU Lewen, ZHANG Shuangshuang. Synergistic toughening mechanism of polypropylene by rigid particle/POE[J]. Plastic, 2019, 48(1): 53-57.
[26] 黄景莹. 改性熔喷聚丙烯非织造布的制备和性能研究[D]. 上海:东华大学, 2011:51-52.
HUANG Jingying. Preparation and properties of modified melt-blown polypropylene nonwovens[D]. Shanghai: Donghua University, 2011: 51-52.
[27] 覃韦崴, 李磊, 覃芳军, 等. CaCO3/弹性体协同增韧PP的研究进展[J]. 广东化工, 2021, 48(3): 66-67.
QIN Weiwei, LI Lei, QIN Fangjun, et al. Research progress of synergistic toughening PP by CaCO3/elastomer[J]. Guangdong Chemical Industry, 2021, 48(3): 66-67.
[28] LIANG J Z, ZHU B, MA W Y. Morphology and mechanical properties of PP/POE/nano-CaCO3 composites[J]. Polymer Composites, 2016, 37(2): 539-546.
doi: 10.1002/pc.v37.2
[29] MIRJALILI F, CHUAH L, SALAHI E. Mechanical and morphological properties of polypropylene/nano α-Al2O3 composites[J]. The Scientific World Journal, 2014(4): 718765.
[1] SONG Xueyang, ZHANG Yan, XU Chenggong, WANG Ping, RUAN Fangtao. Mechanical properties of carbon fiber/polypropylene/polylactic acid reinforced composites [J]. Journal of Textile Research, 2021, 42(11): 84-88.
[2] GAO Meng, WANG Zengyuan, LOU Qiwei, CHEN Gangjin. Characteristics of charge capture of melt-blown polypropylene electret nonwovens by corona charging [J]. Journal of Textile Research, 2021, 42(09): 52-58.
[3] LIU Chaojun, LIU Junjie, DING Yike, MA Shaofeng, ZHANG Xiuqin, ZHANG Jianqing. Preparation and properties of expanded polytetrafluoroethylene membrane composites with high dust holding capacity for high efficiency air filtration [J]. Journal of Textile Research, 2021, 42(05): 31-37.
[4] ZHANG Xuefei, LI Tingting, SHIU Bingchiuan, LIN Jiahorng, LOU Chingwen. Preparation of multifunctional core-shell structure thermoelectric fabrics by low-temperature interfacial polymerization [J]. Journal of Textile Research, 2021, 42(02): 174-179.
[5] QIAO Yansha, WANG Qian, LI Yan, SANG Jiawen, WANG Lu. Preparation and in vitro inflammation evaluation of polydopamine coated polypropylene hernia mesh [J]. Journal of Textile Research, 2020, 41(09): 162-166.
[6] WAN Yucai, LIU Ying, WANG Xu, YI Zhibing, LIU Ke, WANG Dong. Structure and property of poly(vinyl alcohol-co-ethylene) nanofiber/polypropylene microfiber scaffold: a composite air filter with high filtration performance [J]. Journal of Textile Research, 2020, 41(04): 15-20.
[7] ZHEN Qi, ZHANG Heng, ZHU Feichao, SHI Jianhong, LIU Yong, ZHANG Yifeng. Fabrication and properties of polypropylene/polyester bicomponent micro-nanofiber webs via melt blowing process [J]. Journal of Textile Research, 2020, 41(02): 26-32.
[8] LIU Yuhao, SUN Hui, WANG Jieqi, YU Bin. Preparation of TiO2/MIL-88B(Fe)/polypropylene composite melt-blown nonwovens and study on dye degradation properties [J]. Journal of Textile Research, 2020, 41(02): 95-102.
[9] MIAO Miao, WANG Xiaoxu, WANG Ying, LÜ Lihua, WEI Chunyan. Preparation and antistatic property of graphene oxide grafted polypropylene nonwoven fabric [J]. Journal of Textile Research, 2019, 40(11): 125-130.
[10] LIU Jian, MAO Jinlu, PENG Li, CAI Lingyun, ZHENG Xuming, ZHANG Fushan. Performance and regulation of hydrophilic oil agent for polyethylene-polypropylene nonwoven fabrics [J]. Journal of Textile Research, 2019, 40(09): 114-121.
[11] ZHOU Ying, WANG Chuang, ZHU Jiaying, HUANG Linxi, YANG Lili, YU Houyong, YAO Juming, JIN Wanhui. Preparation of controllable ZnO nanoparticles on surface of nonwovens [J]. Journal of Textile Research, 2019, 40(09): 35-41.
[12] ZHANG Heng, ZHEN Qi, LIU Yong, SONG Weimin, LIU Rangtong, ZHANG Yifeng. Air filtration performance and morphological features of polyethylene glycol/polypropylene composite fibrous materials with embedded structure [J]. Journal of Textile Research, 2019, 40(09): 28-34.
[13] WEI Haijiang, JIANG Li, ZHANG Shunhua. Preperation and properties of heat-resistant phase change wax/polypropylene blends [J]. Journal of Textile Research, 2019, 40(06): 8-13.
[14] LIU Jinxin, ZHANG Haifeng, ZHANG Xing, HUANG Chen, ZHENG Xiaobing, JIN Xiangyu. Influence of multistage drawing and heat setting on structure and properties of polyethylene/polypropylene bicomponent fibers [J]. Journal of Textile Research, 2019, 40(05): 24-29.
[15] ZHANG Heng, SHENTU Baoqing, ZHANG Wei, ZHANG Yifeng, CUI Guoshi. Structure and liquid retention properties of polyethylene glycol/ polypropylene melt blown nonwoven with bionic vein networks [J]. Journal of Textile Research, 2019, 40(05): 18-23.
Viewed
Full text


Abstract

Cited

  Shared   
  Discussed   
[1] JI Changchun, ZHANG Kaiyuan, WANG Yudong, WANG Xinhou. Numerical calculation and analysis of three-dimensional flow field in melt-blown process[J]. Journal of Textile Research, 2019, 40(08): 175 -180 .
[2] SUN Guangwu, LI Jiecong, XIN Sanfa, WANG Xinhou. Diameter prediction of melt-blown fiber based on non-Newtonian fluid constitutive equations[J]. Journal of Textile Research, 2019, 40(11): 20 -25 .
[3] ZHEN Qi, ZHANG Heng, ZHU Feichao, SHI Jianhong, LIU Yong, ZHANG Yifeng. Fabrication and properties of polypropylene/polyester bicomponent micro-nanofiber webs via melt blowing process[J]. Journal of Textile Research, 2020, 41(02): 26 -32 .
[4] LI Huiqin, ZHANG Nan, WEN Xiaodan, GONG Jixian, ZHAO Xiaoming, WANG Zhishuai. Progress of noise reduction product based on fiber materials[J]. Journal of Textile Research, 2020, 41(03): 175 -181 .
[5] ZHANG Xing, LIU Jinxin, ZHANG Haifeng, WANG Yuxiao, JIN Xiangyu. Preparation technology and research status of nonwoven filtration materials for individual protective masks[J]. Journal of Textile Research, 2020, 41(03): 168 -174 .
[6] SUN Huanwei, ZHANG Heng, ZHEN Qi, ZHU Feichao, QIAN Xiaoming, CUI Jingqiang, ZHANG Yifeng. Filtrations of propylene-based micro-nano elastic filters via melt blowing process[J]. Journal of Textile Research, 2020, 41(10): 20 -28 .
[7] WANG Yudong, JI Changchun, WANG Xinhou, GAO Xiaoping. Design and numerical analysis of new types of melt blowing slot-dies[J]. Journal of Textile Research, 2021, 42(07): 95 -100 .
[8] GAO Meng, WANG Zengyuan, LOU Qiwei, CHEN Gangjin. Characteristics of charge capture of melt-blown polypropylene electret nonwovens by corona charging[J]. Journal of Textile Research, 2021, 42(09): 52 -58 .
[9] HU Qiaole, BIAN Guofeng, QIU Yiping, WEI Yi, XU Zhenzhen. Sound insulation properties of honeycomb sandwich structure composite for high-speed train floors[J]. Journal of Textile Research, 2021, 42(10): 75 -83 .
[10] WANG Xiaohui, LIU Guojin, SHAO Jianzhong. Biomimetic structural coloration of textiles[J]. Journal of Textile Research, 2021, 42(12): 1 -14 .